题目内容
如图所示,平板A长L=5m,质量M=5kg,放在水平桌面上,板右端与桌边相齐.在 A 上距右端 s=3m处放一物体B(大小可忽略),其质量m=2kg,已知A、B 间动摩擦因数 μ 1=0.1,A与桌面间和B与桌面间的动摩擦因数μ 2=0.2,原来系统静止.现在在板的右端施一大小恒定的水平力F持续作用在物体A上直到将A从B下抽出才撤去,且使B最后停于桌的右边缘,求:(1)物体B运动的时间是多少?
(2)力F的大小为多少?
【答案】分析:(1)根据牛顿第二定律分别求出B在A上滑动的加速度和在桌面上滑动的加速度.B在A上做匀加速运动,在桌面上做匀减速运动,B最后停于桌的右边缘时,两个位移之和等于S.用速度位移关系式得出两段位移与速度的关系式,求出B刚离开A时的速度,再求出物体B运动的时间.
(2)B相对A滑动位移大小等于L-S,根据位移公式得出关系求出A的加速度,再由牛顿第二定律求出F.
解答:解:(1)设B刚离开A时的速度为v,根据牛顿第二定律得
B在A滑动的加速度大小为
=
B桌面上滑动的加速度大小为
=
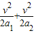
由题得,S=
代入解得,v=2m/s
物体B运动的时间t=
=3s
(2)设B在A上滑动的时间为t1=
设B在A上滑动过程中A的加速度大小为a
则有
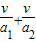
L-S=
-
代入解得,a=2m/s2
对A:F-μ1mg-μ2(M+m)g=Ma
解得F=26N
答:
(1)物体B运动的时间是3s.
(2)力F的大小为26N.
点评:本题有两个研究对象,两个运动过程,由于加速度不同,采用隔离法研究加速度,关键要抓住两个物体之间的关系.
(2)B相对A滑动位移大小等于L-S,根据位移公式得出关系求出A的加速度,再由牛顿第二定律求出F.
解答:解:(1)设B刚离开A时的速度为v,根据牛顿第二定律得
B在A滑动的加速度大小为
B桌面上滑动的加速度大小为
由题得,S=
代入解得,v=2m/s
物体B运动的时间t=
(2)设B在A上滑动的时间为t1=
设B在A上滑动过程中A的加速度大小为a
则有
L-S=
代入解得,a=2m/s2
对A:F-μ1mg-μ2(M+m)g=Ma
解得F=26N
答:
(1)物体B运动的时间是3s.
(2)力F的大小为26N.
点评:本题有两个研究对象,两个运动过程,由于加速度不同,采用隔离法研究加速度,关键要抓住两个物体之间的关系.
练习册系列答案
相关题目