题目内容

如图所示,在xoy平面内,第Ⅲ象限内的直线OM是电场与磁场的边界,OM与负14x轴成45°角.在x<0且OM的左侧空间存在着负x方向的匀强电场E,场强大小为0.32 N/C;在y<0且OM的右侧空间存在着垂直纸面向里的匀强磁场B,磁感应强度大小为0.1 T.一不计重力的带负电的微粒,从坐标原点O沿y轴负方向以v0=2×103 m/s的初速度进入磁场,最终离开电磁场区域.已知微粒的电荷量q=5×10-18 C,质量m=1×10-24 kg,求:

(1)带电微粒第一次经过磁场边界的位置坐标;

(2)带电微粒在磁场区域运动的总时间;

(3)带电微粒最终离开电磁场区域的位置坐标.

答案:
解析:

  解析:(1)带电微粒从O点射入磁场,运动轨迹如图.

  第一次经过磁场边界上的A点

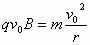
  由(2分)

  得m(1分)

  A点位置坐标(-4×10-3 m,-4×10-3 m)(1分)

  (2)设带电微粒在磁场中做圆周运动的周期为T

  则t=tOA+tAC(2分)

  T=(2分)

  代入数据解得:T=1.256×10-5 s(1分)

  (3)微粒从C点沿y轴正方向进入电场,做类平抛运动

  (1分)

  (1分)

  Δy=v0t1(1分);代入数据解得:Δy=0.2 m

  y=Δy-2r=0.2-2×4×10-3=0.192 m(1分)

  离开电、磁场时的位置坐标(0,0.192)(1分)


练习册系列答案
相关题目

违法和不良信息举报电话:027-86699610 举报邮箱:58377363@163.com

精英家教网