题目内容

有一带电荷量q=-3×10-6C的点电荷,从电场中的A点移到B点时,克服电场力做功6×10-4J.从B点移到C点电场力做功9×10-4J.问:

(1)且AB、BC、CA间电势差各为多少?

(2)如以B点电势为零,则A、C两点的电势各为多少?电荷在A、C两点的电势能各为多少?

答案:
解析:

  (1)解法一:先求电势差的绝对值,再判断正、负.

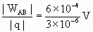
      |UAB|==200V.

因负电荷从A移到B克服电场力做功,必是从高电势点移向低电势点,即

       UA>UB,UAB=200V.

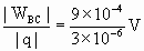
       |UBC|==300V.

因负电荷从B移到C电场力做正功,必是从低电势点移到高电势点,即

       UB>UC,UBC=-300V.

       UCA=UCB+UBA=-UBC+(-UAB)

        =300V-200V=100V.

  解法二:直接取代数值求.

  电荷由A移向B克服电场力做功即电场力做负功,

       WAB=-6×10-4J.

      |UAB|==200V.

      |UBC|==-300V.

以下同上解法.

  (2)若=0,由UAB,得

        =UAB=200V.

由UBC

      -UBC=0V-(-300)V=300V.

电荷在A点的电势能

      εA=q=-3×10-6×200J=6×10-4J.

电荷在C点的电势能

     εC=q=-3×10-6×300J=-9×10-4J.


练习册系列答案
相关题目

违法和不良信息举报电话:027-86699610 举报邮箱:58377363@163.com

精英家教网