ÌâÄ¿ÄÚÈÝ

ÈçͼËùʾ£¬ÔÚxoy×ø±êÆ½ÃæµÄµÚÒ»ÏóÏÞÄÚÓÐÒ»ÑØy ÖáÕý·½ÏòµÄÔÈÇ¿µç³¡£¬ÔÚµÚËÄÏóÏÞÄÚÓÐÒ»´¹Ö±ÓÚÆ½ÃæÏòÄÚµÄÔÈÇ¿´Å³¡£¬ÏÖÓÐÒ»ÖÊÁ¿Îªm ´øµçÁ¿ÎªqµÄ¸ºÁ£

×Ó(ÖØÁ¦²»¼Æ)´Óµç³¡ÖÐ×ø±êΪ(3L£¬L)µÄPµãÓëxÖḺ·½ÏòÏàͬµÄËÙ¶Èv0ÉäÈ룬ÔÚxÖáÉϵÄQµã½øÈë´Å³¡£¬½øÈë´Å³¡ËÙ¶È·½ÏòÓëxÖḺ·½Ïò³É45¡ã¼Ð½Ç£¬È»ºóÁ£×ÓÇ¡ºÃÄÜ´ÓOµãÉä³ö£¬Çó£ºÁ£×ÓÔÚOµãµÄËÙ¶È´óС£®

Çó£º

(1)Á£×ÓÔÚOµãµÄËÙ¶È´óС£»

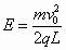
(2)ÔÈÇ¿µç³¡µÄ³¡Ç¿E£»

(3)Á£×Ó´ÓPµãÔ˶¯µ½OµãËùÓõÄʱ¼ä£®

´ð°¸£º
½âÎö£º

¡¡¡¡(1)Á£×ÓÔ˶¯¹ì¼£ÈçͼËùʾ£¬ÉèÁ£×ÓÔÚPµãʱËÙ¶È´óСΪ£¬OQ¶ÎΪËÄ·ÖÖ®Ò»Ô²»¡£¬QP¶ÎΪÅ×ÎïÏߣ¬¸ù¾Ý¶Ô³ÆÐÔ¿ÉÖª£¬Á£×ÓÔÚQµãµÄËÙ¶È´óСҲΪ£¬·½ÏòÓëxÖáÕý·½Ïò³É45¡ã£®

¡¡¡¡¿ÉµÃ

¡¡¡¡(1·Ö)

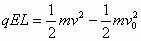
¡¡¡¡(2)Qµ½P¹ý³Ì£¬Óɶ¯Äܶ¨ÀíµÃ(3·Ö)

¡¡¡¡¼´(1·Ö)

¡¡¡¡(3)ÔÚQµãʱ£¬(1·Ö)

¡¡¡¡ÓÉPµ½Q¹ý³ÌÖУ¬ÊúÖ±·½ÏòÉÏÓУº(1·Ö)

¡¡¡¡(2·Ö)

¡¡¡¡Ë®Æ½·½ÏòÓУº(1·Ö)

¡¡¡¡ÔòOQ£½3L£­2L£½L(1·Ö)

¡¡¡¡µÃÁ£×ÓÔÚOQ¶ÎÔ²ÖÜÔ˶¯µÄ°ë¾¶(2·Ö)

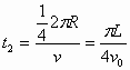
¡¡¡¡Qµ½OµÄʱ¼ä£º(2·Ö)

¡¡¡¡Á£×Ó´ÓPµ½OµãËùÓõÄʱ¼ä£ºt£½t1£«t2£½(2·Ö)


Á·Ï°²áϵÁдð°¸
Ïà¹ØÌâÄ¿

Î¥·¨ºÍ²»Á¼ÐÅÏ¢¾Ù±¨µç»°£º027-86699610 ¾Ù±¨ÓÊÏ䣺58377363@163.com

¾«Ó¢¼Ò½ÌÍø