题目内容
如图所示,某同学在做“研究匀变速直线运动”实验中,由打点计时器得到表示小车运动过程的一条清晰纸带,纸带上两相邻计数点的时间间隔为T=0.10s,其中S1=7.05cm、S2=7.68cm、S3=8.33cm、S4=8.95cm、S5=9.61cm、S6=10.26cm,则打A点时小车瞬时速度的大小是______m/s,小车运动的加速度计算表达式为______,加速度的大小是______m/s2(计算结果保留两位有效数字).
【答案】分析:纸带实验中,若纸带匀变速直线运动,测得纸带上的点间距,利用匀变速直线运动的推论,可计算出打出某点时纸带运动的瞬时速度和加速度.
解答:解:利用匀变速直线运动的推论得:
vA=
=0.86m/s.
由于相邻的计数点间的位移之差不等,故采用逐差法求解加速度.
根据匀变速直线运动的推论公式△x=aT2可以求出加速度的大小,
得:s4-s1=3a1T2
s5-s2=3a2T2
s6-s3=3a3T2
为了更加准确的求解加速度,我们对三个加速度取平均值
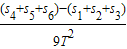
得:a=
(a1+a2+a3)
小车运动的加速度计算表达式为a=
代入数据得a=0.64m/s2.
故答案为:0.86,
,0.64.
点评:要注意单位的换算和有效数字的保留.
能够运用逐差法求解加速度.
解答:解:利用匀变速直线运动的推论得:
vA=
由于相邻的计数点间的位移之差不等,故采用逐差法求解加速度.
根据匀变速直线运动的推论公式△x=aT2可以求出加速度的大小,
得:s4-s1=3a1T2
s5-s2=3a2T2
s6-s3=3a3T2
为了更加准确的求解加速度,我们对三个加速度取平均值
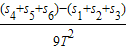
得:a=
| 1 |
| 3 |
小车运动的加速度计算表达式为a=
代入数据得a=0.64m/s2.
故答案为:0.86,
点评:要注意单位的换算和有效数字的保留.
能够运用逐差法求解加速度.
练习册系列答案
相关题目