题目内容
一辆汽车从静止开始做匀加速直线运动,已知途中经过相距27m的A、B两点所用时间为2s,汽车经过B点时的速度为15m/s.求:(1)汽车经过A点时的速度大小;(2)A点与出发点间的距离.
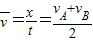
【答案】分析:(1)根据
求出AB两点间的平均速度,再根据
,求出A点的速度大小.
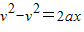
(2)根据速度时间公式求出加速度a,根据
,求出A点与出发点的距离
解答:解:(1)A、B两点的平均速度
,代入数据得,vA=12m/s.
故经过A点的速度大小为12m/s.
(2)汽车运动的加速度
.

故A点与出发点的距离为48m.
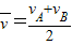
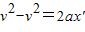
点评:解决本题的关键掌握匀变速直线运动平均速度公式
,以及速度位移公式
.
(2)根据速度时间公式求出加速度a,根据
解答:解:(1)A、B两点的平均速度
故经过A点的速度大小为12m/s.
(2)汽车运动的加速度
故A点与出发点的距离为48m.
点评:解决本题的关键掌握匀变速直线运动平均速度公式
练习册系列答案
相关题目