题目内容

(12分)以速度为=10m/s匀速行驶的汽车在第2s末关闭发动机,以后作匀减速直线运动,第3s内的平均速度是9m/s,试求:

⑴汽车作减速直线运动的加速度a;

⑵汽车在10s内的位移x。

 

【答案】

(1)    (2)45m

【解析】

试题分析:(1)设汽车在第3末的速度为,由题意有: (1分)

解得:      (1分)

因此:        (2分)

(2)汽车在关闭发动机前2内的位移为:  (2分)

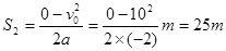
汽车在关闭发动机后的位移为:   (2分)

或:汽车在关闭发动机后速度减为零所需时间:  (2分)

汽车在关闭发动机后的位移为:   (2分)

因此,汽车在前10内的位移为:    (1分)

考点:运动学公式

 

练习册系列答案
相关题目

违法和不良信息举报电话:027-86699610 举报邮箱:58377363@163.com

精英家教网