题目内容

如图所示,两个物体以相同大小的初速度从O点同时分别向x轴正、负方向水平抛出,它们的轨迹恰好满足抛物线方程y=,那么以下说法正确的是(曲率半径简单地理解为在曲线上一点附近与之重合的圆弧的最大半径)

A.物体被抛出时的初速度为

B.物体被抛出时的初速度为

C.O点的曲率半径为

D.O点的曲率半径为2k

 

【答案】

AC

【解析】

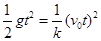
试题分析:两个小球都做平抛运动,经t时间,水平方向,竖直方向,代入抛物线方程,,可得初速度,A正确,B错误;抛物线方程求导:,根据数学知道可知,O点的曲率半径:R=,因此C正确,D错误。

考点:平抛运动

 

练习册系列答案
相关题目

违法和不良信息举报电话:027-86699610 举报邮箱:58377363@163.com

精英家教网