题目内容

(12分)如图所示,传递带AB始终保持的速度水平向右匀速运动,将质量的小物块(可视为质点)轻放在皮带的A点,物块与皮带间的动摩擦因数为0.1,AB之间的距离,求:

(1)物块由A点运动到速度达到2m/s时发生的位移

(2)物块由A点运动到B点所经历的时间.

(3)物块由A点运动到B点的过程中发生的相对位移和产生的热量.

 

【答案】

(1)  (2)  (3)

【解析】

试题分析:(1)物块做匀加速直线运动,由牛顿第二定律知加速度:

由运动学公式可得:, 解得: 

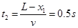
(2)由于,则物体先做匀加速直线运动,后做匀速直线运动

加速时间;匀速时间

则A运动至B的时间

(3)匀加速阶段物块和传送带发生相对位移

由功能关系:

考点:本题考查了牛顿第二定律、匀变速直线运动的规律、功能关系.

 

练习册系列答案
相关题目

违法和不良信息举报电话:027-86699610 举报邮箱:58377363@163.com

精英家教网