ÌâÄ¿ÄÚÈÝ
ÈçͼËùʾ£¬³¤L=1.6m£¬ÖÊÁ¿M=3kgµÄľ°å¾²·ÅÔÚ¹â»¬Ë®Æ½ÃæÉÏ£¬ÖÊÁ¿m=1kg¡¢´øµçÁ¿q=+2.5×10-4CµÄС»¬¿é·ÅÔÚľ°åµÄÓÒ¶Ë£¬Ä¾°åºÍÎï¿é¼äµÄ¶¯Ä¦²ÁÒòÊý¦Ì=0.1£¬ËùÔÚ¿Õ¼ä¼ÓÓÐÒ»¸ö·½ÏòÊúÖ±ÏòÏÂÇ¿¶ÈΪE=4.0×104N/CµÄÔÈÇ¿µç³¡£¬ÈçͼËùʾ£¬ÏÖ¶Ôľ°åÊ©¼ÓһˮƽÏòÓÒµÄÀÁ¦F£®È¡g=10m/s2£¬Ç󣺣¨1£©Ê¹Îï¿é²»µôÏÂÈ¥µÄ×î´óÀÁ¦F£»
£¨2£©Èç¹ûÀÁ¦F=11Nºã¶¨²»±ä£¬Ð¡Îï¿éËùÄÜ»ñµÃµÄ×î´ó¶¯ÄÜ£®
¡¾´ð°¸¡¿·ÖÎö£º£¨1£©ÒªÐ¡Îï¿é²»µôÏÂÀ´£¬ÔòСÎï¿éºÍľ°åµÄ¼ÓËÙ¶ÈÏàͬ£¬ÇÒ×î´óÀÁ¦Ê±¼ÓËÙ¶È×î´ó£¬Ð¡Îï¿éÊܵÄĦ²ÁÁ¦ÌṩËüÔ˶¯µÄ¼ÓËÙ¶È£¬¶øÕûÌåËùÊܵÄÀÁ¦ÌṩÕûÌåµÄ¼ÓËÙ¶È£®
£¨2£©µ±ÀÁ¦F=11Nʱ£¬Ð¡Îï¿éÏà¶ÔÓÚľ°å·¢ÉúÔ˶¯£¬Ôòľ°åËùÊܵÄÀÁ¦ÓëĦ²ÁÁ¦µÄºÏÁ¦Ìṩľ°åµÄ¼ÓËÙ¶È£¬¶øÐ¡Îï¿éËùÊܵϬ¶¯Ä¦²ÁÁ¦ÌṩСÎï¿éÔ˶¯µÄ¼ÓËÙ¶È£¬Á½ÕßµÄÎ»ÒÆ²îµÈÓÚľ°åµÄ³¤¶ÌʱСÎï¿éÂäÏÂËÙ¶È´ïµ½×î´ó£®
½â´ð£º½â£º£¨1£©F×î´óµÄʱºòÎï¿é²»µôÏ£¬±ØÊÇÎï¿éÓëľ°å¾ßÓй²Í¬µÄ×î´ó¼ÓËÙ¶Èa1£¬
¶ÔÎï¿éÀ´ËµËüÊܵÄĦ²ÁÁ¦ÌṩËüÔ˶¯µÄ¼ÓËÙ¶È£¬Ôò×î´ó¼ÓËÙ¶ÈΪa1=
=
=
¶ÔÕûÌåÀ´ËµË®Æ½·½ÏòµÄĦ²Á¹éÄÚÁ¦£¬¹ÊÓÐ×î´óµÄÀÁ¦F=£¨M+m£©a1=8N£®
£¨2£©µ±ÀÁ¦F=11Nʱ£¬Ä¾°åµÄ¼ÓËÙ¶È
a2=
=
m/s2=3 m/s2
¶øÎï¿éµÄ¼ÓËٶȱ£³Ö²»±äÈÔΪa1=2m/s2
Éè´Ó¿ªÊ¼Ô˶¯µ½Ð¡Îï¿éµôÏÂËùÓÃʱ¼äΪt£¬
ÔòÓÉ
µÃÎï¿é»¬¹ýľ°åËùÓÃʱ¼ä
t=
s
Îï¿éÀ뿪ľ°åʱµÄËÙ¶Èv1=a1t=
m/s
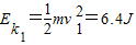
´ËʱСÎï¿éËùÄÜ»ñµÃµÄ×î´ó¶¯ÄÜΪ
£®
´ð£º£¨1£©Ê¹Îï¿é²»µôÏÂÈ¥µÄ×î´óÀÁ¦8N£®
£¨2£©Ð¡Îï¿éËùÄÜ»ñµÃµÄ×î´ó¶¯ÄÜΪ
£®
µãÆÀ£º£¨1£©ÎÊÖÐÎï¿é²»µôÏÂÈ¥Òâζ×ÅÁ½ÕߵļÓËÙ¶ÈÏàͬ£¬ÕâÊǸÃÎʵÄÍ»ÆÆ¿Ú£®
£¨2£©ÎÊÖÐСÎï¿éÔÚÂäÏÂǰʼÖÕ¼ÓËÙ£¬¹ÊÂäÏÂʱСÎï¿éµÄËÙ¶È×î´ó£¬ÕâÊǸÃÎʵÄÍ»ÆÆ¿Ú£®ÁíÍâÀÁ¦F=11N£¾8N˵Ã÷Á½ÕßÏà¶ÔÔ˶¯£¬¹Ê¼ÓËٶȲ»Í¬£®
£¨2£©µ±ÀÁ¦F=11Nʱ£¬Ð¡Îï¿éÏà¶ÔÓÚľ°å·¢ÉúÔ˶¯£¬Ôòľ°åËùÊܵÄÀÁ¦ÓëĦ²ÁÁ¦µÄºÏÁ¦Ìṩľ°åµÄ¼ÓËÙ¶È£¬¶øÐ¡Îï¿éËùÊܵϬ¶¯Ä¦²ÁÁ¦ÌṩСÎï¿éÔ˶¯µÄ¼ÓËÙ¶È£¬Á½ÕßµÄÎ»ÒÆ²îµÈÓÚľ°åµÄ³¤¶ÌʱСÎï¿éÂäÏÂËÙ¶È´ïµ½×î´ó£®
½â´ð£º½â£º£¨1£©F×î´óµÄʱºòÎï¿é²»µôÏ£¬±ØÊÇÎï¿éÓëľ°å¾ßÓй²Í¬µÄ×î´ó¼ÓËÙ¶Èa1£¬
¶ÔÎï¿éÀ´ËµËüÊܵÄĦ²ÁÁ¦ÌṩËüÔ˶¯µÄ¼ÓËÙ¶È£¬Ôò×î´ó¼ÓËÙ¶ÈΪa1=
¶ÔÕûÌåÀ´ËµË®Æ½·½ÏòµÄĦ²Á¹éÄÚÁ¦£¬¹ÊÓÐ×î´óµÄÀÁ¦F=£¨M+m£©a1=8N£®
£¨2£©µ±ÀÁ¦F=11Nʱ£¬Ä¾°åµÄ¼ÓËÙ¶È
a2=
¶øÎï¿éµÄ¼ÓËٶȱ£³Ö²»±äÈÔΪa1=2m/s2
Éè´Ó¿ªÊ¼Ô˶¯µ½Ð¡Îï¿éµôÏÂËùÓÃʱ¼äΪt£¬
ÔòÓÉ
t=
Îï¿éÀ뿪ľ°åʱµÄËÙ¶Èv1=a1t=
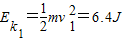
´ËʱСÎï¿éËùÄÜ»ñµÃµÄ×î´ó¶¯ÄÜΪ
´ð£º£¨1£©Ê¹Îï¿é²»µôÏÂÈ¥µÄ×î´óÀÁ¦8N£®
£¨2£©Ð¡Îï¿éËùÄÜ»ñµÃµÄ×î´ó¶¯ÄÜΪ
µãÆÀ£º£¨1£©ÎÊÖÐÎï¿é²»µôÏÂÈ¥Òâζ×ÅÁ½ÕߵļÓËÙ¶ÈÏàͬ£¬ÕâÊǸÃÎʵÄÍ»ÆÆ¿Ú£®
£¨2£©ÎÊÖÐСÎï¿éÔÚÂäÏÂǰʼÖÕ¼ÓËÙ£¬¹ÊÂäÏÂʱСÎï¿éµÄËÙ¶È×î´ó£¬ÕâÊǸÃÎʵÄÍ»ÆÆ¿Ú£®ÁíÍâÀÁ¦F=11N£¾8N˵Ã÷Á½ÕßÏà¶ÔÔ˶¯£¬¹Ê¼ÓËٶȲ»Í¬£®
Á·Ï°²áϵÁдð°¸
Ïà¹ØÌâÄ¿