ÌâÄ¿ÄÚÈÝ
СÃ÷Õ¾ÔÚˮƽµØÃæÉÏ£¬ÊÖÎÕ²»¿ÉÉ쳤µÄÇáÉþÒ»¶Ë£¬ÉþµÄÁíÒ»¶ËϵÓÐÖÊÁ¿ÎªmµÄСÇò£¬Ë¦¶¯ÊÖÍó£¬Ê¹ÇòÔÚÊúÖ±Æ½ÃæÄÚ×öÔ²ÖÜÔ˶¯£®µ±Çòij´ÎÔ˶¯µ½×îµÍµãʱ£¬ÉþͻȻ¶Ïµô£¬Çò·ÉÐÐˮƽ¾àÀëdºóÂ䵨£®ÈçÌâͼËùʾ£®ÒÑÖªÎÕÉþµÄÊÖÀëµØÃæ¸ß¶ÈΪd£¬ÊÖÓëÇòÖ®¼äµÄÉþ³¤Îª£¨1£©ÇóÉþ¶ÏʱÇòµÄËÙ¶È´óС v1ºÍÇòÂäµØÊ±µÄËÙ¶È´óС v2£®
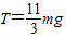
£¨2£©ÏòÉþÄܳÐÊܵÄ×î´óÀÁ¦¶à´ó£¿
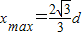
£¨3£©¸Ä±äÉþ³¤£¬Ê¹ÇòÖØ¸´ÉÏÊöÔ˶¯£¬ÈôÉþÈÔÔÚÇòÔ˶¯µ½×îµÍµãʱ¶Ïµô£¬ÒªÊ¹ÇòÅ׳öµÄˮƽ¾àÀë×î´ó£¬Éþ³¤Ó¦ÊǶàÉÙ£¿×î´óˮƽ¾àÀëΪ¶àÉÙ£¿
¡¾´ð°¸¡¿·ÖÎö£º£¨1£©Éþ¶ÏºóСÇò×öƽÅ×Ô˶¯£¬¸ù¾ÝƽÅ×Ô˶¯µÄ¹æÂɼ´¿ÉÇó½âÉþ¶ÏʱÇòµÄËÙ¶È´óС v1ºÍÇòÂäµØÊ±µÄËÙ¶È´óС v2£®
£¨2£©ÉèÉþÄܳÐÊܵÄ×î´óÀÁ¦´óСΪT£¬ÕâÒ²ÊÇÇòÊܵ½ÉþµÄ×î´óÀÁ¦´óС£®¸ù¾ÝÏòÐÄÁ¦¹«Ê½¼´¿ÉÇó½â£»
£¨3£©ÉèÉþ³¤Îªl£¬Éþ¶ÏʱÇòµÄËÙ¶È´óСΪv3£¬Éþ³ÐÊܵÄ×î´óÍÆÁ¦²»±ä£¬¸ù¾ÝÔ²ÖÜÔ˶¯ÏòÐÄÁ¦¹«Ê½¼°Æ½Å×Ô˶¯µÄ¹æÂɽáºÏÊýѧ֪ʶ¼´¿É½âÌ⣮
½â´ð£º½â£º£¨1£©ÉèÉþ¶ÎºóÇò·ÉÐÐʱ¼äΪt£¬ÓÉÆ½Å×Ô˶¯¹æÂÉ£¬ÓÐ
ÊúÖ±·½Ïò
£¬Ë®Æ½·½Ïòd=v1t
µÃ
ÓÉ»úеÄÜÊØºã¶¨ÂÉ£¬ÓÐ
µÃ
£¨2£©ÉèÉþÄܳÐÊܵÄ×î´óÀÁ¦´óСΪT£¬ÕâÒ²ÊÇÇòÊܵ½ÉþµÄ×î´óÀÁ¦´óС£®
Çò×öÔ²ÖÜÔ˶¯µÄ°ë¾¶Îª
ÓÉÔ²ÖÜÔ˶¯ÏòÐÄÁ¦¹«Ê½£¬ÓÐ
µÃ
£¨3£©ÉèÉþ³¤Îªl£¬Éþ¶ÏʱÇòµÄËÙ¶È´óСΪv3£¬Éþ³ÐÊܵÄ×î´óÀÁ¦²»±ä£¬
ÓÐ
µÃ
Éþ¶ÏºóÇò×öƽÅ×Ô˶¯£¬ÊúÖ±Î»ÒÆÎªd-l£¬Ë®Æ½Î»ÒÆÎªx£¬Ê±¼äΪt1
ÓÐ
x=v3t1
µÃ
µ±
ʱ£¬xÓм«´óÖµ£¬
´ð£º£¨1£©ÇóÉþ¶ÏʱÇòµÄËÙ¶È´óС v1Ϊ
£¬ÇòÂäµØÊ±µÄËÙ¶È´óС v2Ϊ
£»
£¨2£©ÉþÄܳÐÊܵÄ×î´óÀÁ¦Îª
£»
£¨3£©Éþ³¤Ó¦ÊÇ
£¬×î´óˮƽ¾àÀëΪ
£®
µãÆÀ£º±¾ÌâÖ÷Òª¿¼²éÁËÔ²ÖÜÔ˶¯ÏòÐÄÁ¦¹«Ê½¼°Æ½Å×Ô˶¯µÄ¹æÂɵÄÓ¦Ó㬲¢ÄܽáºÏÊýѧ֪ʶ½âÌ⣮
£¨2£©ÉèÉþÄܳÐÊܵÄ×î´óÀÁ¦´óСΪT£¬ÕâÒ²ÊÇÇòÊܵ½ÉþµÄ×î´óÀÁ¦´óС£®¸ù¾ÝÏòÐÄÁ¦¹«Ê½¼´¿ÉÇó½â£»
£¨3£©ÉèÉþ³¤Îªl£¬Éþ¶ÏʱÇòµÄËÙ¶È´óСΪv3£¬Éþ³ÐÊܵÄ×î´óÍÆÁ¦²»±ä£¬¸ù¾ÝÔ²ÖÜÔ˶¯ÏòÐÄÁ¦¹«Ê½¼°Æ½Å×Ô˶¯µÄ¹æÂɽáºÏÊýѧ֪ʶ¼´¿É½âÌ⣮
½â´ð£º½â£º£¨1£©ÉèÉþ¶ÎºóÇò·ÉÐÐʱ¼äΪt£¬ÓÉÆ½Å×Ô˶¯¹æÂÉ£¬ÓÐ
ÊúÖ±·½Ïò
µÃ
ÓÉ»úеÄÜÊØºã¶¨ÂÉ£¬ÓÐ
µÃ
£¨2£©ÉèÉþÄܳÐÊܵÄ×î´óÀÁ¦´óСΪT£¬ÕâÒ²ÊÇÇòÊܵ½ÉþµÄ×î´óÀÁ¦´óС£®
Çò×öÔ²ÖÜÔ˶¯µÄ°ë¾¶Îª
ÓÉÔ²ÖÜÔ˶¯ÏòÐÄÁ¦¹«Ê½£¬ÓÐ
µÃ
£¨3£©ÉèÉþ³¤Îªl£¬Éþ¶ÏʱÇòµÄËÙ¶È´óСΪv3£¬Éþ³ÐÊܵÄ×î´óÀÁ¦²»±ä£¬
ÓÐ
Éþ¶ÏºóÇò×öƽÅ×Ô˶¯£¬ÊúÖ±Î»ÒÆÎªd-l£¬Ë®Æ½Î»ÒÆÎªx£¬Ê±¼äΪt1
ÓÐ
µÃ
µ±
´ð£º£¨1£©ÇóÉþ¶ÏʱÇòµÄËÙ¶È´óС v1Ϊ
£¨2£©ÉþÄܳÐÊܵÄ×î´óÀÁ¦Îª
£¨3£©Éþ³¤Ó¦ÊÇ
µãÆÀ£º±¾ÌâÖ÷Òª¿¼²éÁËÔ²ÖÜÔ˶¯ÏòÐÄÁ¦¹«Ê½¼°Æ½Å×Ô˶¯µÄ¹æÂɵÄÓ¦Ó㬲¢ÄܽáºÏÊýѧ֪ʶ½âÌ⣮
Á·Ï°²áϵÁдð°¸
Ïà¹ØÌâÄ¿