ÌâÄ¿ÄÚÈÝ
Èçͼ¼×Ëùʾ£¬Á½¸ù×ã¹»³¤¡¢µç×è²»¼ÆµÄ¹â»¬Æ½ÐнðÊôµ¼¹ìÏà¾àΪL1=1m£¬µ¼¹ìÆ½ÃæÓëË®Æ½Ãæ³É¦È=30°½Ç£¬É϶ËÁ¬½Ó×èÖµR=1.5¦¸µÄµç×裻ÖÊÁ¿Îªm=0.2kg¡¢×èÖµr=0.5¦¸µÄÔÈÖʽðÊô°ôab·ÅÔÚÁ½µ¼¹ìÉÏ£¬¾àÀëµ¼¹ì×îÉ϶ËΪL2=4m£¬°ôÓëµ¼¹ì´¹Ö±²¢±£³ÖÁ¼ºÃ½Ó´¥£®Õû¸ö×°Öô¦ÓÚÒ»ÔÈÇ¿´Å³¡ÖУ¬¸ÃÔÈÇ¿´Å³¡·½ÏòÓëµ¼¹ìÆ½Ãæ´¹Ö±£¬´Å¸ÐӦǿ¶È´óÐ¡ËæÊ±¼ä±ä»¯µÄÇé¿öÈçͼÒÒËùʾ£®£¨g=10m/s2£©£¨1£©±£³Öab°ô¾²Ö¹£¬ÔÚ0¡«4sÄÚ£¬Í¨¹ý½ðÊô°ôabµÄµçÁ÷¶à´ó£¿·½ÏòÈçºÎ£¿
£¨2£©ÎªÁ˱£³Öab°ô¾²Ö¹£¬ÐèÒªÔÚ°ôµÄÖеãÊ©¼ÓÁËһƽÐÐÓÚµ¼¹ìÆ½ÃæµÄÍâÁ¦F£¬Çóµ±t=2sʱ£¬ÍâÁ¦FµÄ´óСºÍ·½Ïò£»
£¨3£©5sºó£¬³·È¥ÍâÁ¦F£¬½ðÊô°ô½«Óɾ²Ö¹¿ªÊ¼Ï»¬£¬ÕâʱÓõçѹ´«¸ÐÆ÷½«RÁ½¶ËµÄµçѹ¼´Ê±²É¼¯²¢ÊäÈë¼ÆËã»ú£¬ÔÚÏÔʾÆ÷ÏÔʾµÄµçѹ´ïµ½Ä³Ò»ºã¶¨Öµºó£¬¼ÇϸÃʱ¿Ì°ôµÄλÖ㬲â³ö¸ÃλÖÃÓë°ô³õʼλÖÃÏà¾à2.4m£¬Çó½ðÊô°ô´ËʱµÄËٶȼ°Ï»¬µ½¸ÃλÖõĹý³ÌÖÐÔÚµç×èRÉϲúÉúµÄ½¹¶úÈÈ£®
¡¾´ð°¸¡¿·ÖÎö£º£¨1£©ÔÚ0¡«4sÄÚ£¬ÓÉ·¨ÀµÚµç´Å¸ÐÓ¦¶¨Âɺͱպϵç·ŷķ¶¨ÂÉÇó½â£®
£¨2£©¸ù¾Ý·¨ÀµÚµç´Å¸ÐÓ¦¶¨ÂÉÇó³ö0¡«4sÄÚ¸ÐÓ¦µç¶¯ÊÆ£¬ÔÙ¸ù¾Ý±ÕºÏµç·ŷķ¶¨ÂÉÇó³öµçÁ÷£¬´Ó¶øÇó³ö°²ÅàÁ¦£¬ÀûÓðô×ӵį½ºâÇó³öÍâÁ¦FµÄ´óСºÍ·½Ïò£®
£¨3£©µ¼Ìå°ôÓɾ²Ö¹Ï»¬£¬ÊÜÖØÁ¦¡¢Ö§³ÖÁ¦¡¢°²ÅàÁ¦£¬µ±Ï»¬µÄ¼ÓËٶȼõСΪ0ʱ£¬ËÙ¶ÈÎȶ¨£¬µçѹҲÎȶ¨£¬¸ù¾ÝƽºâÇó³ö´ËʱµÄËÙ¶È£¬ÔÙ¸ù¾ÝÄÜÁ¿ÊغãÇó³ö×ÜÈÈÁ¿£¬¸ù¾ÝµçÁ÷ʱ¿ÌÏàͬ£¬
£®
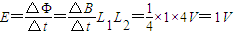
½â´ð£º½â£º£¨1£©ÔÚ0¡«4sÄÚ£¬ÓÉ·¨ÀµÚµç´Å¸ÐÓ¦¶¨ÂÉ£º

Óɱպϵç·ŷķ¶¨ÂÉ£º

·½ÏòÓÉa¡úb£®
£¨2£©µ±t=2sʱ£¬ab°ôÊܵ½ÑØÐ±ÃæÏòÉϵݲÅàÁ¦F°²=BIL1=0.5×0.5×1N=0.25N
¶Ôab°ôÊÜÁ¦·ÖÎö£¬ÓÉÆ½ºâÌõ¼þ£ºF+F°²-mgsin30°=0
F=mgsin30°-F°²=£¨0.2×10×0.5-0.25£©N=0.75N
·½ÏòÑØµ¼¹ìÐ±ÃæÏòÉÏ£®
£¨3£©ab°ôÑØµ¼¹ìÏ»¬Çиî´Å¸ÐÏß²úÉú¸ÐÓ¦µç¶¯ÊÆ£¬ÓУºE¡ä=B¡äL1v
²úÉúµÄ¸ÐÓ¦µçÁ÷
°ôÏ»¬ÖÁËÙ¶ÈÎȶ¨Ê±£¬°ôÁ½¶ÎµçѹҲºã¶¨£¬´Ëʱab°ôÊÜÁ¦Æ½ºâ£¬
ÓУºmgsin30°=B¡äI¡äL1
½âµÃ£º
Óɶ¯Äܶ¨Àí£¬µÃ

¡à
´ð£º£¨1£©±£³Öab°ô¾²Ö¹£¬ÔÚ0¡«4sÄÚ£¬Í¨¹ý½ðÊô°ôabµÄµçÁ÷ÊÇ0.5A£¬·½ÏòÓÉa¡úb£®
£¨2£©ÎªÁ˱£³Öab°ô¾²Ö¹£¬ÐèÒªÔÚ°ôµÄÖеãÊ©¼ÓÁËһƽÐÐÓÚµ¼¹ìÆ½ÃæµÄÍâÁ¦F£¬Çóµ±t=2sʱ£¬ÍâÁ¦FµÄ´óСÊÇ0.75N£¬·½ÏòÑØµ¼¹ìÐ±ÃæÏòÉÏ£®
£¨3£©½ðÊô°ô´ËʱµÄËÙ¶ÈÊÇ2m/s£¬Ï»¬µ½¸ÃλÖõĹý³ÌÖÐÔÚµç×èRÉϲúÉúµÄ½¹¶úÈÈÊÇ1.5J£®
µãÆÀ£º½â¾ö±¾ÌâµÄ¹Ø¼üÕÆÎÕ·¨ÀµÚµç´Å¸ÐÓ¦¶¨ÂÉE=n
=n
S£¬ÒÔ¼°µ¼Ìå°ôÇиî²úÉúµÄ¸ÐÓ¦µç¶¯ÊÆE=BLv£®
£¨2£©¸ù¾Ý·¨ÀµÚµç´Å¸ÐÓ¦¶¨ÂÉÇó³ö0¡«4sÄÚ¸ÐÓ¦µç¶¯ÊÆ£¬ÔÙ¸ù¾Ý±ÕºÏµç·ŷķ¶¨ÂÉÇó³öµçÁ÷£¬´Ó¶øÇó³ö°²ÅàÁ¦£¬ÀûÓðô×ӵį½ºâÇó³öÍâÁ¦FµÄ´óСºÍ·½Ïò£®
£¨3£©µ¼Ìå°ôÓɾ²Ö¹Ï»¬£¬ÊÜÖØÁ¦¡¢Ö§³ÖÁ¦¡¢°²ÅàÁ¦£¬µ±Ï»¬µÄ¼ÓËٶȼõСΪ0ʱ£¬ËÙ¶ÈÎȶ¨£¬µçѹҲÎȶ¨£¬¸ù¾ÝƽºâÇó³ö´ËʱµÄËÙ¶È£¬ÔÙ¸ù¾ÝÄÜÁ¿ÊغãÇó³ö×ÜÈÈÁ¿£¬¸ù¾ÝµçÁ÷ʱ¿ÌÏàͬ£¬
½â´ð£º½â£º£¨1£©ÔÚ0¡«4sÄÚ£¬ÓÉ·¨ÀµÚµç´Å¸ÐÓ¦¶¨ÂÉ£º
Óɱպϵç·ŷķ¶¨ÂÉ£º
·½ÏòÓÉa¡úb£®
£¨2£©µ±t=2sʱ£¬ab°ôÊܵ½ÑØÐ±ÃæÏòÉϵݲÅàÁ¦F°²=BIL1=0.5×0.5×1N=0.25N
¶Ôab°ôÊÜÁ¦·ÖÎö£¬ÓÉÆ½ºâÌõ¼þ£ºF+F°²-mgsin30°=0
F=mgsin30°-F°²=£¨0.2×10×0.5-0.25£©N=0.75N
·½ÏòÑØµ¼¹ìÐ±ÃæÏòÉÏ£®
£¨3£©ab°ôÑØµ¼¹ìÏ»¬Çиî´Å¸ÐÏß²úÉú¸ÐÓ¦µç¶¯ÊÆ£¬ÓУºE¡ä=B¡äL1v
²úÉúµÄ¸ÐÓ¦µçÁ÷
°ôÏ»¬ÖÁËÙ¶ÈÎȶ¨Ê±£¬°ôÁ½¶ÎµçѹҲºã¶¨£¬´Ëʱab°ôÊÜÁ¦Æ½ºâ£¬
ÓУºmgsin30°=B¡äI¡äL1
½âµÃ£º
Óɶ¯Äܶ¨Àí£¬µÃ
¡à
´ð£º£¨1£©±£³Öab°ô¾²Ö¹£¬ÔÚ0¡«4sÄÚ£¬Í¨¹ý½ðÊô°ôabµÄµçÁ÷ÊÇ0.5A£¬·½ÏòÓÉa¡úb£®
£¨2£©ÎªÁ˱£³Öab°ô¾²Ö¹£¬ÐèÒªÔÚ°ôµÄÖеãÊ©¼ÓÁËһƽÐÐÓÚµ¼¹ìÆ½ÃæµÄÍâÁ¦F£¬Çóµ±t=2sʱ£¬ÍâÁ¦FµÄ´óСÊÇ0.75N£¬·½ÏòÑØµ¼¹ìÐ±ÃæÏòÉÏ£®
£¨3£©½ðÊô°ô´ËʱµÄËÙ¶ÈÊÇ2m/s£¬Ï»¬µ½¸ÃλÖõĹý³ÌÖÐÔÚµç×èRÉϲúÉúµÄ½¹¶úÈÈÊÇ1.5J£®
µãÆÀ£º½â¾ö±¾ÌâµÄ¹Ø¼üÕÆÎÕ·¨ÀµÚµç´Å¸ÐÓ¦¶¨ÂÉE=n
Á·Ï°²áϵÁдð°¸
Ïà¹ØÌâÄ¿