ÌâÄ¿ÄÚÈÝ

¢ÙijͬѧÉè¼ÆÁËÒ»¸ö̽¾¿Ð¡³µµÄ¼ÓËÙ¶ÈaÓëС³µËùÊÜÀ­Á¦F¼°ÖÊÁ¿m¹ØÏµµÄʵÑ飬ͼÖУ¨¼×£©ÎªÊµÑé×°Öüòͼ£®ËûÏëÓù³ÂëµÄÖØÁ¦±íʾС³µÊܵ½µÄºÏÍâÁ¦£¬ÎªÁ˼õСÕâÖÖ×ö·¨´øÀ´µÄʵÑéÎó²î£¬ÄãÈÏΪÏÂÁÐ˵·¨ÖÐÕýÈ·µÄÊÇ______£¨Ñ¡Ìî×Öĸ´úºÅ£©£®
A£®ÊµÑéʱҪƽºâĦ²ÁÁ¦                B£®ÊµÑéʱ²»ÐèҪƽºâĦ²ÁÁ¦
C£®¹³ÂëµÄÖØÁ¦ÒªÔ¶Ð¡ÓÚС³µµÄ×ÜÖØÁ¦    D£®ÊµÑé½øÐÐʱӦÏÈÊÍ·ÅС³µÔÙ½ÓͨµçÔ´
¢ÚÈçͼ£¨ÒÒ£©ËùʾÊÇij´ÎʵÑéÖеõ½µÄÒ»ÌõÖ½´ø£¬ÆäÖÐA¡¢B¡¢C¡¢D¡¢EÊǼÆÊýµã£¨Ã¿´ò5¸öµãȡһ¸ö¼ÆÊýµã£©£¬ÆäÖÐL1=3.07cm£¬L2=12.38cm£¬L3=27.87cm£¬L4=49.62cm£®Ôò´òCµãʱС³µµÄËÙ¶ÈΪ______m/s£¬Ð¡³µµÄ¼ÓËÙ¶ÈÊÇ______m/s2£®£¨¼ÆËã½á¹û¾ù±£ÁôÈýλÓÐЧÊý×Ö£©

¡¾´ð°¸¡¿·ÖÎö£º¢Ù¸ÃʵÑé×°ÖÃÓÚÑé֤ţ¶ÙµÚ¶þ¶¨ÂɵÄʵÑé×°ÖÃÏàͬ£¬ÎªÁËÈÃíÀÂëµÄÖØÁ¦¸ü¼Ó½Ó½üΪС³µµÄºÏÍâÁ¦£¬±¾ÊµÑéÖÐÐèҪƽºâĦ²ÁÁ¦ºÍÈÃíÀÂëÖØÁ¦Ô¶Ô¶Ð¡ÓÚС³µÖØÁ¦£®
¢ÚÀûÓÃÔÚÔȱäËÙÖ±ÏßÔ˶¯ÖУ¬Öмäʱ¿ÌµÄ˲ʱËٶȵÈÓڸùý³ÌÖÐµÄÆ½¾ùËÙ¶ÈÀ´ÇóCµÄËÙ¶È´óС£¬ÀûÓÃÖð²î·¨¸ù¾Ý¡÷x=aT2¿ÉÇóÎïÌåµÄ¼ÓËÙ¶È£®
½â´ð£º½â£º¢Ù¸ù¾ÝʵÑéÔ­ÀíÎÒÃÇÖªµÀ£¬ÎªÁËÈÃíÀÂëµÄÖØÁ¦¸ü¼Ó½Ó½üΪС³µµÄºÏÍâÁ¦£¬±¾ÊµÑéÖÐÐèҪƽºâĦ²ÁÁ¦ºÍÈÃíÀÂëÖØÁ¦Ô¶Ô¶Ð¡ÓÚС³µÖØÁ¦£¬ÊµÑéʱÏȽÓͨµçÔ´ºóÊÍ·ÅС³µ£¬¹ÊBD´íÎó£¬ACÕýÈ·£®
¹ÊÑ¡AC£®
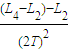
¢Úÿ´ò5¸öµãȡһ¸ö¼ÆÊýµã£¬ÏàÁڵļÆÊýµãµÄʱ¼ä¼ä¸ôÊÇ0.1s£¬
¸ù¾ÝÖмäʱ¿ÌµÄ˲ʱËٶȵÈÓڸùý³ÌÖÐµÄÆ½¾ùËÙµÃCµãµÄËÙ¶ÈΪ£º
vC==m/s=1.24m/s
¸ù¾Ý¡÷x=aT2¿ÉµÃ£º
a==m/s2=6.22m/s2
¹Ê´ð°¸Îª£º¢ÙA¡¢C 
¢Ú1.24£¬6.22
µãÆÀ£ºÕýÈ·½â´ðʵÑéÎÊÌâµÄǰÌáÊÇÃ÷ȷʵÑéÔ­Àí£¬´ÓʵÑéÔ­Àí³ö·¢½øÐзÖÎöËùÐèʵÑéÆ÷²Ä¡¢ÊµÑé²½Öè¡¢Ëù²âÊý¾ÝµÈ£¬»áÆðµ½Ê°빦±¶µÄЧ¹û£®
Á·Ï°²áϵÁдð°¸
Ïà¹ØÌâÄ¿
Öйú̽Ô¹¤³Ì¶þÆÚµÄ¼¼ÊõÏȵ¼ÐÇ¡°æÏ¶ð¶þºÅ¡±£¬2010Äê10ÔÂ1ÈÕ18ʱ59·Ö57ÃëÔÚÔÚÎ÷²ýÎÀÐÇ·¢ÉäÖÐÐÄÓÉ¡°³¤Õ÷ÈýºÅ±û¡±ÔËÔØ»ð¼ý·¢ÉäÉý¿Õ£®±±¾©Ê±¼ä6ÈÕ11ʱ6·Ö£¬ÔÚ±±¾©º½Ìì·ÉÐпØÖÆÖÐÐĵľ«È·¿ØÖÆÏ£¬æÏ¶ð¶þºÅÎÀÐdzɹ¦ÊµÊ©µÚÒ»´Î½üÔÂÖÆ¶¯£¬32·ÖÖÓºó£¬ÎÀÐÇ˳Àû½øÈëÖÜÆÚÔ¼12СʱµÄÍÖÔ²»·Ô¹ìµÀ£®¡°Õ⼫´óµØÌá¸ßÁËͬѧÃǵİ®¹úÈÈÇé¼°¶ÔÔÂÇòµÄ¹Ø×¢³Ì¶È£®ÒÔÏÂÊÇijͬѧ¾ÍÓйØÔÂÇòµÄ֪ʶÉè¼ÆµÄÁ½¸öÎÊÌ⣬ÇëÄã½â´ð£º
£¨1£©ÈôÒÑÖªµØÇò°ë¾¶ÎªR£¬µØÇò±íÃæµÄÖØÁ¦¼ÓËÙ¶ÈΪg£¬ÔÂÇòÈÆµØÇòÔ˶¯µÄÖÜÆÚΪT£¬ÇÒ°ÑÔÂÇòÈÆµØÇòµÄÔ˶¯½üËÆ¿´×÷ÊÇÔÈËÙÔ²ÖÜÔ˶¯£®ÊÔÇó³öÔÂÇòÈÆµØÇòÔ˶¯µÄ¹ìµÀ°ë¾¶£®
£¨2£©ÖйúÊ׸öÔÂÇò̽²â¼Æ»®¡°æÏ¶ð¹¤³Ì¡±½«·ÖÈý¸ö½×¶Îʵʩ£¬´óÔ¼ÓÃÊ®Äê×óÓÒʱ¼äÍê³É£¬¶ø×÷Ϊ̽Ô¹¤³ÌµÄµÚ¶þ²½£¬Ä¿Ç°ÂäÔ¹¤³ÌµÄÑз¢½¨É蹤×÷Ò²ÒÑÆô¶¯£¬¼Æ»®ÔÚ2013ÄêǰÍê³É£®ÈôÎÒ¹úijλÓîº½Ô±ËæµÇÔ·ɴ¬µÇ½ÔÂÇòºó£¬ÔÚÔÂÇòijˮƽ±íÃæÉÏ·½h¸ß´¦ÒÔËÙ¶Èv0ˮƽÅ׳öÒ»¸öСÇò£¬Ð¡ÇòÂ仨µ½ÔÂÇò±íÃæµÄˮƽ¾àÀëΪs£®ÒÑÖªÔÂÇò°ë¾¶ÎªRÔ£¬ÍòÓÐÒýÁ¦³£Á¿ÎªG£®ÊÔÇó³öÔÂÇòµÄÖÊÁ¿MÔ£®
ÎÒ¹ú·¢ÉäµÄ¡°æÏ¶ðÒ»ºÅ¡±Ì½ÔÂÎÀÐÇ£¬ÊµÏÖÁ˹úÈ˰ÙÄê±¼ÔµÄÃÎÏ룮
£¨1£©Èçͼ1ÊÇijͬѧ¶Ô¡°æÏ¶ðÒ»ºÅ¡±Ì½ÔÂÎÀÐÇÈÆÔÂÔËÐеĿÉÄܹìµÀµÄ²ÂÏ룬ÆäÖв»¿ÉÄÜʵÏÖµÄÊÇÄĸöͼ¶ÔÓ¦µÄ¹ìµÀ£¬ÄãµÄÀíÓÉÊÇʲô£¿

£¨2£©Èç¹ûÓԱÔÚÔÂÇò±íÃæÉÏ£¬²â³öСÎï¿é×ÔÓÉÏÂÂäh¸ß¶ÈËùÓõÄʱ¼äΪt£»²â³öÈÆÔÂÎÀÐÇÔÚ¿¿½üÔÂÇò±íÃæÔ²¹ìµÀÉÏ·ÉÐÐʱµÄÖÜÆÚÊÇT£¬ÒÑÖªÍòÓÐÒýÁ¦³£Á¿ÎªG£®ÇëÄãÓÃÉÏÊö¸÷Á¿ÍƵ¼³öÔÂÇòÖÊÁ¿µÄ±í´ïʽ£®
£¨3£©Ä³Ñ§Ð£ÎïÀíÐËȤС×éÑо¿¡°æÏ¶ðÒ»ºÅ¡±Ì½ÔÂÎÀÐǵķ¢ÉäºÍÔËÐÐÇé¿öʱ²ÂÏ룺ÎÀÐÇÒª°ÑÅÄÉãµ½µÄ¸÷ÖÖͼƬÐÅÏ¢£¬³ÖÐø²»¶ÏµØÓÃ΢²¨·¢»ØµØÃæÊ±£¬ÓÉÓÚÔÂÇòµÄÕÚµ²£¬ÔÚµØÇòÉÏ×ÜÓÐÒ»¶Îʱ¼ä½ÓÊÕ²»µ½ÎÀÐÇ·¢À´µÄ΢²¨Ðźţ®ÎªÁËÑéÖ¤×Ô¼ºµÄ²ÂÏ룬ËûÃÇÉè¼ÆÁËÈçͼ2ËùʾµÄµçÄÔÄ£ÄâʵÑ飺¹Ì¶¨µØÇòºÍÔÂÇòÄ£ÐÍ£¬ÈÃÎÀÐÇÈÆÔÂÐýת£¬ÔÚµØÇòÉϰ²×°Î¢²¨½ÓÊÕÆ÷£¬Ö¤ÊµÁËËûÃǵIJÂÏëÊÇÕýÈ·µÄ£®
ÔÚʵÑéÖÐËûÃÇÉè¼ÆºÍ²âÁ¿µÄ¸÷ÀàÊý¾ÝÊÇ£ºµØÇò¡¢ÔÂÇòºÍÎÀÐǵÄÖÊÁ¿·Ö±ðΪmµØ¡¢mÔºÍmÎÀ£¬ÎÀÐÇÈÆÔÂÇòÔËÐеÄÖÜÆÚΪT£¬¹ìµÀ°ë¾¶ÎªrÎÀ=2r£¬µØÇòºÍÔÂÇòµÄ°ë¾¶·Ö±ðΪrµØ=3rºÍrÔÂ=r£¬µØÇòÓëÔÂÇòÖ®¼äµÄÖÊÐľàÀëΪL=180r£®ÇëÄãÇó³ö£ºÔÚÕâ¸öÄ£ÄâʵÑéÖУ¬ÎÀÐÇÈÆÔÂÇòÔËÐÐÒ»¸öÖÜÆÚµÄʱ¼äÄÚ£¬µØÇò²»ÄܽÓÊÕµ½ÎÀÐÇ·¢ÉäµÄ΢²¨ÐźŵÄʱ¼ä£¨ÍòÓÐÒýÁ¦ºãÁ¿ÎªG£¬cos89¡ã=
190
£©£®

Î¥·¨ºÍ²»Á¼ÐÅÏ¢¾Ù±¨µç»°£º027-86699610 ¾Ù±¨ÓÊÏ䣺58377363@163.com

¾«Ó¢¼Ò½ÌÍø