题目内容
在光滑的水平面内,一质量m=lkg的质点以速度v=10m/s沿x轴正方向运动,经过原点后受一沿y轴正方向的恒力F=5N作用,直线OA与x轴成37°角,如图所示,(sin37°=0.6,cos37°=0.8)(1)如果质点的运动轨迹与直线OA相交于P点,求质点从O点到P点所经历的时间
(2)质点经过P点时的速度大小.
【答案】分析:(1)质点在x轴方向做匀速直线运动,在y轴方向做匀加速直线运动,根据分运动与合运动具有等时性,抓住水平位移和竖直位移的关系求出运动的时间.
(2)分别求出P点的水平速度和竖直速度,根据平行四边形定则求出P点的速度.
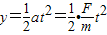
解答:解:(1)x轴方向上位移x=vt,y轴方向上的位移
.
又
联立三式解得t=3s.
故质点从O点到P点所经历的时间为3s.
(2)沿y轴方向的速度
则v=
m/s.
故质点经过P点时的速度大小为
m/s.
点评:解决本题的关键将质点的运动分解为x轴方向和y轴方向,根据合运动与分运动具有等时性进行求解.
(2)分别求出P点的水平速度和竖直速度,根据平行四边形定则求出P点的速度.
解答:解:(1)x轴方向上位移x=vt,y轴方向上的位移
又
联立三式解得t=3s.
故质点从O点到P点所经历的时间为3s.
(2)沿y轴方向的速度
则v=
故质点经过P点时的速度大小为
点评:解决本题的关键将质点的运动分解为x轴方向和y轴方向,根据合运动与分运动具有等时性进行求解.
练习册系列答案
相关题目
| A、若小球能运动到x1处,则该过程小球所受电场力逐渐增大 | ||||||||
| B、带电小球从x1运动到x3的过程中,电势能先减小后增大 | ||||||||
C、若该小球能运动到x4处,则初速度v0至少为2
| ||||||||
D、若v0为2
|