题目内容
如图所示,两个半径不同而内壁光滑的半圆轨道固定于地面,一个小球先后从与球心在同一水平高度的A、B两点由静止开始自由下滑,通过轨道最低点时( )A.小球对轨道的压力相同
B.小球对两轨道的压力不同
C.此时小球的向心加速度不相等
D.此时小球的向心加速度相等
【答案】分析:小球从与球心在同一水平高度的A、B两点由静止开始自由下滑过程中,受到重力和支持力作用,但只有重力做功,机械能守恒,由机械能守恒定律可求出小球到最低点的速度,然后由向心加速度公式求向心加速度,由牛顿第二定律求出支持力,进而来比较向心加速度大小和压力大小.
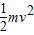
解答:解:设半圆轨道的半径为r,小球到最低点的速度为v,由机械能守恒定律得:mgr=
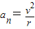
,小球的向心加速度
,联立两式解得:an=2g,与半径无关,因此此时小球的向心加速度相等,所以,C选项错误,D选项正确.
在最低点,由牛顿第二定律得:
,联立解得;FN=3mg,即压力为3mg,也与半径无关,所以小球对轨道的压力相同.因此,A选项正确,B选项错误.
故选:A、D.
点评:小球下滑,机械能守恒,机械能守恒定律、牛顿第二定律、向心力公式分别求出小球在最低点的压力和向心加速度,可以看出它们与圆轨道的半径无关.
解答:解:设半圆轨道的半径为r,小球到最低点的速度为v,由机械能守恒定律得:mgr=
在最低点,由牛顿第二定律得:
故选:A、D.
点评:小球下滑,机械能守恒,机械能守恒定律、牛顿第二定律、向心力公式分别求出小球在最低点的压力和向心加速度,可以看出它们与圆轨道的半径无关.
练习册系列答案
相关题目
| A、两小球到达轨道最低点的速度vM=vN | B、两小球到达轨道最低点时对轨道的压力FM>FN | C、小球第一次到达M点的时间大于小球第一次到达N点的时间 | D、在磁场中小球能到达轨道的另一端,在电场中小球不能到达轨道的另一端 |