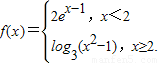
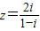
0 77006 77014 77020 77024 77030 77032 77036 77042 77044 77050 77056 77060 77062 77066 77072 77074 77080 77084 77086 77090 77092 77096 77098 77100 77101 77102 77104 77105 77106 77108 77110 77114 77116 77120 77122 77126 77132 77134 77140 77144 77146 77150 77156 77162 77164 77170 77174 77176 77182 77186 77192 77200 266669