对某电子元件进行寿命追踪调查,情况如下.
估计元件寿命在100~400h以内的在总体中占的比例 .
| 寿命(h) | 100~200 | 200~300 | 300~400 | 400~500 | 500~600 |
| 个 数 | 20 | 30 | 80 | 40 | 30 |
对甲、乙两名自行车赛手在相同条件下进行了6次测试,测得他们的最大速度(m/s)的数据如下表.
(1)画出茎叶图,由茎叶图你能获得哪些信息?
(2)分别求出甲、乙两名自行车赛手最大速度(m/s)数据的平均数、中位数、标准差,并判断选谁参加比赛更合适.
| 甲 | 27 | 38 | 30 | 37 | 35 | 31 |
| 乙 | 33 | 29 | 38 | 34 | 28 | 36 |
(2)分别求出甲、乙两名自行车赛手最大速度(m/s)数据的平均数、中位数、标准差,并判断选谁参加比赛更合适.
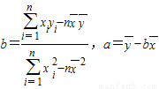
假设关于某设备的使用年限x和所支出的维修费用y(万元),有如下的统计资料:
若由资料可知y对x呈线性相关关系,试求:
(1)回归直线方程;
(2)估计使用年限为10年时,维修费用约是多少?
(参考:
)
0 76974 76982 76988 76992 76998 77000 77004 77010 77012 77018 77024 77028 77030 77034 77040 77042 77048 77052 77054 77058 77060 77064 77066 77068 77069 77070 77072 77073 77074 77076 77078 77082 77084 77088 77090 77094 77100 77102 77108 77112 77114 77118 77124 77130 77132 77138 77142 77144 77150 77154 77160 77168 266669
| x | 2 | 3 | 4 | 5 | 6 |
| y | 2.2 | 3.8 | 5.5 | 6.5 | 7.0 |
(1)回归直线方程;
(2)估计使用年限为10年时,维修费用约是多少?
(参考: