题目内容
假设关于某设备的使用年限x和所支出的维修费用y(万元),有如下的统计资料:| x | 2 | 3 | 4 | 5 | 6 |
| y | 2.2 | 3.8 | 5.5 | 6.5 | 7.0 |
(1)回归直线方程;
(2)估计使用年限为10年时,维修费用约是多少?
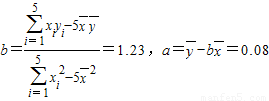
(参考:
【答案】分析:(1)由已知表格中的数据,我们易计算出变量x,y的平均数,及xi,xiyi的累加值,代入回归直线系数公式
,即可求出回归直线的系数,进而求出回归直线方程.
(2)把使用年限10代入,回归直线方程,即可估算出维修费用的值.
解答:解:(1)
,


所以回归直线方程为
(2)
,
即估计用10年时维修费约为12.38万元.
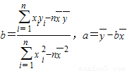
点评:求回归直线的方程,关键是要求出回归直线方程的系数,由已知的变量x,y的值,我们计算出变量x,y的平均数,及xi,xiyi的累加值,代入回归直线系数公式
,即可求出回归直线的系数,进而求出回归直线方程.
(2)把使用年限10代入,回归直线方程,即可估算出维修费用的值.
解答:解:(1)
所以回归直线方程为
(2)
即估计用10年时维修费约为12.38万元.
点评:求回归直线的方程,关键是要求出回归直线方程的系数,由已知的变量x,y的值,我们计算出变量x,y的平均数,及xi,xiyi的累加值,代入回归直线系数公式
练习册系列答案
相关题目
假设关于某设备的使用年限x和所支出的维修费用 y(万元),有如下的统计资料:
若由资料可知y对x呈线性相关关系,且线性回归方程为y=a+bx,其中已知b=1.23,请估计使用年限为20年时,维修费用约为 .
| x | 2 | 3 | 4 | 5 | 6 |
| y | 2.2 | 3.8 | 5.5 | 6.5 | 7.0 |
假设关于某设备的使用年限x和所支出的维修费用y(万元),有如下的统计资料:
试求:
(1)对x与y进行线性相关性检验;
(2)如果y对x呈线性相关关系,求线性回归方程;(其中
和
均保留两位小数)
(3)估计使用年限为10年时,维修费用是多少万元?(保留两位小数)
(参考公式与数据:r=
,
=
,
=
=
,
=90,
=140.8,
=4,
=5,
xiyi=1123,
≈8.9,
≈1.4,n-2=3时,r0.05=0.878)
| x | 2 | 3 | 4 | 5 | 6 |
| y | 2.2 | 3.8 | 5.5 | 6.5 | 7.0 |
(1)对x与y进行线性相关性检验;
(2)如果y对x呈线性相关关系,求线性回归方程;(其中
| a |
| b |
(3)估计使用年限为10年时,维修费用是多少万元?(保留两位小数)
(参考公式与数据:r=
| ||||||||||||||||
|
| b |
| |||||||
|
| a |
. |
| y |
| b |
. |
| x |
| 5 |
| i=1 |
| x | 2 i |
| 5 |
| i=1 |
| y | 2 i |
. |
| x |
. |
| y |
| 5 |
| i=1 |
| 79 |
| 2 |