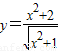
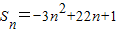
0  76675  76683  76689  76693  76699  76701  76705  76711  76713  76719  76725  76729  76731  76735  76741  76743  76749  76753  76755  76759  76761  76765  76767  76769  76770  76771  76773  76774  76775  76777  76779  76783  76785  76789  76791  76795  76801  76803  76809  76813  76815  76819  76825  76831  76833  76839  76843  76845  76851  76855  76861  76869  266669 

违法和不良信息举报电话:027-86699610 举报邮箱:58377363@163.com

精英家教网