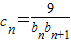
数列{an}中,a1=2,且满足an+2-2an+1+an=0(n∈N*),{an}的前项和为Sn,S3=12.
(Ⅰ)求数列{an}的通项公式;
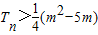
(Ⅱ) 令
(n∈N*),求数列{bn}的前n项和的公式.
0 76463 76471 76477 76481 76487 76489 76493 76499 76501 76507 76513 76517 76519 76523 76529 76531 76537 76541 76543 76547 76549 76553 76555 76557 76558 76559 76561 76562 76563 76565 76567 76571 76573 76577 76579 76583 76589 76591 76597 76601 76603 76607 76613 76619 76621 76627 76631 76633 76639 76643 76649 76657 266669
(Ⅰ)求数列{an}的通项公式;
(Ⅱ) 令