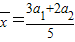
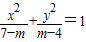
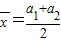
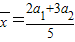
0  74877  74885  74891  74895  74901  74903  74907  74913  74915  74921  74927  74931  74933  74937  74943  74945  74951  74955  74957  74961  74963  74967  74969  74971  74972  74973  74975  74976  74977  74979  74981  74985  74987  74991  74993  74997  75003  75005  75011  75015  75017  75021  75027  75033  75035  75041  75045  75047  75053  75057  75063  75071  266669 

违法和不良信息举报电话:027-86699610 举报邮箱:58377363@163.com

精英家教网