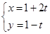
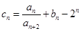
0  74146  74154  74160  74164  74170  74172  74176  74182  74184  74190  74196  74200  74202  74206  74212  74214  74220  74224  74226  74230  74232  74236  74238  74240  74241  74242  74244  74245  74246  74248  74250  74254  74256  74260  74262  74266  74272  74274  74280  74284  74286  74290  74296  74302  74304  74310  74314  74316  74322  74326  74332  74340  266669 

违法和不良信息举报电话:027-86699610 举报邮箱:58377363@163.com

精英家教网