题目内容

直线与曲线相交,截得的弦长为_           

 

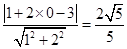
【答案】

.

【解析】

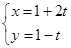
试题分析:曲线的直角坐标方程为,标准方程为,表示以点为圆心,半径长为的圆,直线的一般式方程为,则圆心到直线的距离为,因此直线与圆相交所得的弦长为.

考点:1.圆的极坐标方程与普通方程之间的转化;2.直线的参数方程为一般方程之间的转化;3.点到直线的距离;4.勾股定理

 

练习册系列答案
相关题目

违法和不良信息举报电话:027-86699610 举报邮箱:58377363@163.com

精英家教网