题目内容

已知数列中,,且当时,.记的阶乘.

(1)求数列的通项公式;

(2)求证:数列为等差数列;

(3)若,求的前 项和.

 

【答案】

(1);(2)详见解析;(3)数列的前项和为.

【解析】

试题分析:(1)根据数列的通项公式的结构特点选择迭代法求数列的通项公式;(2)在数列的递推式的两边同时除以得到,于是得到,从而利用定义证明数列为等差数列;(3)在(2)的基础上求出数列的通项公式,并分别求出数列和数列的通项公式,然后根据数列的通项结构选择分组求和法,分别对数列和数列进行求和,利用裂项法对数列进行求和,利用错位相减法对数列进行求和,然后再将两个和相加即可.

试题解析:(1)

,所以

(2)由,两边同时除以,即

所以数列是以为首项,以为公差的等差数列,

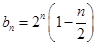
,故

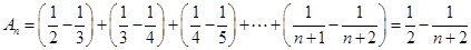
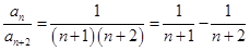
(3)因为

的前项和为

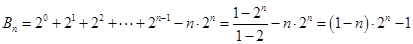
,              ①

     ②

由②①得,

=.

考点:1.迭代法求数列的通项;2.构造法求数列通项;3.分组求和法;4.裂项求和法;5.错位相减法

 

练习册系列答案
相关题目

违法和不良信息举报电话:027-86699610 举报邮箱:58377363@163.com

精英家教网