点
,则它的极坐标是( )
| A. | B. | C. | D. |
点
,则它的极坐标是( )
| A. | B. | C. | D. |
把极坐标方程ρ
化成直角坐标方程是
| A. | B. |
| C. | D. |
在极坐标中,由三条曲线
围成的图形的面积是( )
| A. | B. | C. | D. |
极坐标方程
化为直角坐标方程是( )
| A. | B. |
| C. | D. |
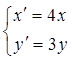
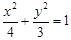
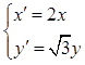
欲将方程
所对应的图形变成方程
所对应的图形,需经过伸
缩变换
为( )
| A. | B. | C. | D. |
在极坐标系中,点
到圆
的圆心的距离为
| A.2 | B. | C. | D. |
点
,则它的极坐标是( )
| A. | B. | C. | D. |
点
,则它的极坐标是( )
| A. | B. | C. | D. |
把极坐标方程ρ
化成直角坐标方程是
| A. | B. |
| C. | D. |
在极坐标中,由三条曲线
围成的图形的面积是( )
| A. | B. | C. | D. |
极坐标方程
化为直角坐标方程是( )
| A. | B. |
| C. | D. |
欲将方程
所对应的图形变成方程
所对应的图形,需经过伸
缩变换
为( )
| A. | B. | C. | D. |
在极坐标系中,点
到圆
的圆心的距离为
| A.2 | B. | C. | D. |