某出租车公司计划用450万元购买A型和B型两款汽车投入营运,购买总量不超过50辆,其中购买A型汽车需13万元/辆,购买B型汽车需8万元/辆.假设公司第一年A型汽车的纯利润为2万元/辆,B型汽车的纯利润为1.5万元/辆,为使该公司第一年纯利润最大,则需安排购买( )
| A.10辆A型出租车,40辆B型出租车 | B.9辆A型出租车,41辆B型出租车 |
| C.11辆A型出租车,39辆B型出租车 | D.8辆A型出租车,42辆B型出租车 |
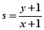
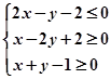
设变量
满足约束条件
,则
的取值范围是( )
| A. | B. | C. | D. |
设变量
满足约束条件
,则
的取值范围是( )
| A. | B. | C. | D. |
若变量
满足约束条件
,则实数
( )
| A.有最小值,有最大值 | B.有最小 |
| C.无最小值,有最大值 | D.无最小值,无最大值 |
某企业生产甲、乙两种产品,已知生产每吨甲产品要用A原料3吨、B原料2吨;生产每吨乙产品要用A原料1吨、B原料3吨.销售每吨甲产品可获得利润5万元,每吨乙产品可获得利润3万元,该企业在一个生产周期内消耗A原料不超过13吨,B原料不超过18吨,那么该企业可获得最大利润是( )
| A.12万元 | B.20万元 |
| C.25万元 | D.27万元 |
点P(x,y)在直线4x+3y=0上,且满足-14≤x-y≤7,则点P到坐标原点距离的取值范围是( )
| A.[0,5] | B.[0,10] |
| C.[5,10] | D.[5,15] |
已知变量
、
,满足
,则
的取值范围为( )
| A.[13,40] | B.(- |
| C.(- | D.[ |
设x,y满足约束条件
,若目标函数
的最大值为6,则
+
的最小值为
| A.1 | B.3 | C.2 | D.4 |
设变量a,b满足约束条件:![]()
的最小值为m,则函数
的极小值等于
| A.- | B.- | C.2 | D. |