数列的前项和。
,则
定义运算符号“”:表示若干个数相乘,例如:.记,其中为数列中的第项.(1)若,则 ;(2)若,则 .
观察下列各式并填空:1=1,2+3+4=9,3+4+5+6+7= ,4+5+6+7+8+9+10=49,…,由此可归纳出= 。
对正整数n,设曲线在x=2处的切线与y轴交点的纵坐标为,则数列的前n项和等于 .
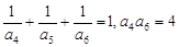
数列中,项,若 。
等差数列共有项,其中奇数项之和为319,偶数项之和为290,则中间项为______.
已知数列满足,若,则_____.
已知数列的前n项和,则
若1+2+22+……+2 n-1 > 32 ,nÎN*,则n的最小值为( )