函数的定义域为D,若满足:①f(x)在D内是单调函数;②存在[a,b]上的值域为,那么就称函数y=f(x)为“成功函数”,若函数是“成功函数”,则t的取值范围为(  )

 

A.

(0,+∞)

B.

(﹣∞,0)

C.

D.

定义一个对应法则f:P(m,n)→P(),(m≥0,n≥0).现有点A(2,6)与点B(6,2),点M是线段AB上一动点,按定义的对应法则f:M→M′.当点M在线段AB上从点A开始运动到点B结束时,点M的对应点M′所经过的路线长度为  

已知方程x2﹣9x+2a=0和x2﹣6x+2b=0分别存在两个不等实根,其中这四个根组成一个公比为2的等比数列,则a+b=(  )

 

A.

3

B.

4

C.

5

D.

6

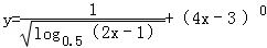
函数的定义域为        

 0  69353  69361  69367  69371  69377  69379  69383  69389  69391  69397  69403  69407  69409  69413  69419  69421  69427  69431  69433  69437  69439  69443  69445  69447  69448  69449  69451  69452  69453  69455  69457  69461  69463  69467  69469  69473  69479  69481  69487  69491  69493  69497  69503  69509  69511  69517  69521  69523  69529  69533  69539  69547  266669 

违法和不良信息举报电话:027-86699610 举报邮箱:58377363@163.com

精英家教网