某中学对高二甲、乙两个同类班级进行“加强‘语文阅读理解,训练对提髙‘数学应用题得分率作用”的试验,其中甲班为试验班(加强语文阅读理解训练),乙班为对比班(常规教学,无额外训练),在试验前的测试中,甲、乙两班学生在数学应用题上的得分率基本一致,试验结束后,统计几次数学应用题测试的平均成绩(均取整数)如下表所示:
| 60分以下 | 61—70 分 | 71—80 分 | 81-90 分 | 91-100分 | |
| 甲班(人数) | 3 | 6 | 11 | 18 | 12 |
| 乙班(人数) | 8 |
| 15 | 10 |
现规定平均成绩在80分以上(不含80分)的为优秀.
(I )试分别估计两个班级的优秀率;
(II)由以上统计数据填写下面2 X 2列联表,并问是否有"5匁的把握认为“加强‘语文阅读理解’训练对提商‘数学应用题’得分率”有帮助.
| 优秀人数 | 非优秀人数 | 合计 | |
| 甲班 | |||
| 乙班 | |||
| 合计 |
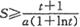
| 参考公式及数据:
|