搜索
数列{a
n
}的通项公式为
,若它的前n项和为8,则项数n=( )。
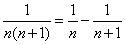
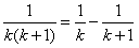
在计算“
(n∈N*)”时,某同学学到了如下一种方法:
先改写第k项:
,
由此得
,
,…,
,
相加,得
,
类比上述方法,请你计算“
(n∈N*)”,其结果为( )。
( )。
( )。
n
2
(n≥4)个正数排成n行n列:
a
11
a
12
a
13
a
14
… a
1n
a
21
a
22
a
23
a
24
… a
2n
a
31
a
32
a
33
a
34
… a
3n
… … …
a
n1
a
n2
a
n3
a
n4
… a
nn
其中第一行的数成等差数列,每一列中的数成等比数列,并且所有公比相等.已知a
24
=1,a
42
=
,a
43
=
,求a
11
+a
22
+a
33
+…+a
nn
。
某房地产开发商在销售一幢23层的商品楼之前按下列方法确定房价:由于首层与顶层均为复式结构,因此首层价格为a
1
元/m
2
,顶层由于景观好价格为a
2
元/m
2
,第二层价格为a元/m
2
,从第三层开始每层在前一层价格上加价
元/m
2
,则该商品房各层的平均价格为( )。
在数列{a
n
}中,a
1
=1,a
2
=2,且a
n+2
-a
n
=1+(-1)
n
(n∈N*),则S
100
等于
[ ]
A.50
B.2600
C.2500
D.2550
某人为了观看2008年奥运会,从2001年起,每年5月10日到银行存入a元定期储蓄,若每年利率为p且保持不变,并约定每年到期均自动转为新的一年定期,到2008年将所有的存款及利息全部取回,则可取回的钱的总数(元)为
[ ]
A.
[(1+p)
8
-(1+p)]
B.a(1+p)
8
C.
[(1+p)
7
-(1+p)]
D.a(1+p)
7
一个数列的前n项和S
n
=1-2+3-4+…+(-1)
n+1
n,则S
17
+S
33
+S
50
=( )。
已知数列{a
n
}中S
n
是它的前n项和,且S
n+1
=4a
n
+2(n∈N*),a
1
=1。
(1)设b
n
=a
n+1
-2a
n
(n∈N*),证明:数列{b
n
}为等比数列;
(2)设c
n
=
(n∈N*),证明:数列{c
n
}为等差数列;
(3)求S
n
=a
1
+a
2
+…+a
n
。
0
20040
20048
20054
20058
20064
20066
20070
20076
20078
20084
20090
20094
20096
20100
20106
20108
20114
20118
20120
20124
20126
20130
20132
20134
20135
20136
20138
20139
20140
20142
20144
20148
20150
20154
20156
20160
20166
20168
20174
20178
20180
20184
20190
20196
20198
20204
20208
20210
20216
20220
20226
20234
266669
关 闭
试题分类
高中
数学
英语
物理
化学
生物
地理
初中
数学
英语
物理
化学
生物
地理
小学
数学
英语
其他
阅读理解答案
已回答习题
未回答习题
题目汇总
试卷汇总
练习册解析答案