搜索
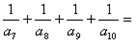
等比数列
中
,且
,则
=( )
若正项等差数列{a
n
}和正项等比数列{b
n
},且a
1
=b
1
,a
2n﹣1
=b
2n﹣1
,公差d>0,则a
n
与b
n
(n≧3)的大小关系是
[ ]
A.a
n
<b
n
B.a
n
≥
b
n
C.a
n
>b
n
D.a
n
≤
b
n
在等比数列
中,若
,
,则
( )
a,b,c成等比数列,那么关于x的方程ax
2
+bx+c=0
[ ]
A.一定有两个不相等的实数根
B.一定有两个相等的实数根
C.一定没有实数根
D.以上三种情况均可出现
a,b,c成等比数列,那么关于x的方程ax
2
+bx+c=0
[ ]
A.一定有两个不相等的实数根
B.一定有两个相等的实数根
C.一定没有实数根
D.以上三种情况均可出现
已知数列{a
n
}的前项的和S
n
=
(a是不为0的实数),那么
[ ]
A.一定是等差数列
B.一定是等比数列
C.或者是等差数列,或者是等比数列
D.既不可能是等差数列,也不可能是等比数列
已知
,点
在函数
的图象上,其中
(1)证明数列
是等比数列;
(2)设
,求
;
(3)记
,求数列
的前n项和为S
n
,并证明S
n
<1
等比数列{a
n
}中,已知a
1
+a
2
=4,a
1
+a
2
+a
3
+a
4
=5,则公比q=( )
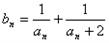
已知等差数列{a
n
}的首项为正整数,公差为正偶数,且a
5
≥10,S
15
<255.
(1)求通项a
n
;
(2)若数列a
1
,a
3
,
,
,
,…
,…,成等比数列,试找出所有的n∈N*,使
为正整数,说明你的理由.
已知等比数列{a
n
}中,a
1
=1,且2a
2
,3a
3
,4a
4
成等差数列,则a
3
等于
[ ]
A.0
B.
C.1
D.
或1
0
19499
19507
19513
19517
19523
19525
19529
19535
19537
19543
19549
19553
19555
19559
19565
19567
19573
19577
19579
19583
19585
19589
19591
19593
19594
19595
19597
19598
19599
19601
19603
19607
19609
19613
19615
19619
19625
19627
19633
19637
19639
19643
19649
19655
19657
19663
19667
19669
19675
19679
19685
19693
266669
关 闭
试题分类
高中
数学
英语
物理
化学
生物
地理
初中
数学
英语
物理
化学
生物
地理
小学
数学
英语
其他
阅读理解答案
已回答习题
未回答习题
题目汇总
试卷汇总
练习册解析答案