题目内容
(06年山东卷理)(14分)
已知,点在函数的图象上,其中
(1)证明数列是等比数列;
(2)设,求及数列的通项;
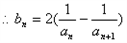
(3)记,求数列的前项,并证明
(1)证明:数列是等比数列,并求数列的通项公式;
(2)记,求数列的前项和.
(3)记,求数列的前项和。
(1)证明:数列是等比数列;
(2)设数列的前项积为,求及数列的通项公式;
(3)已知是与的等差中项,数列的前项和为,求证:.
(本题13分)已知,点在函数的图象上,其中
(2)设,求;
(3)记,求数列的前n项和为Sn,并证明Sn<1