题目内容
已知数列{an}的前n项和Sn=(n+1)bn,其中{bn}是首项为1,公差为2的等差数列。
(1)求数列{an}的通项公式;
(2)若
,求数列{cn}的前n项和Tn。
(1)求数列{an}的通项公式;
(2)若
解:(1)由题意,知
,
∴
;
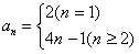
(2)当n=1时,
,
当
时,
,
∴
。
∴
(2)当n=1时,
当
∴
练习册系列答案
相关题目
已知数列{an}的前n项和Sn=an2+bn(a、b∈R),且S25=100,则a12+a14等于( )
| A、16 | B、8 | C、4 | D、不确定 |