题目内容
已知函数(1)求函数f(x)的单调区间;
(2)设m>0,求f(x)在[m,2m]上的最大值;
(3)试证明:对任意n∈N+,不等式
【答案】分析:(1)求导函数,确定x=1是f′(x)=0的唯一解,进而利用当0<x<1时,f′(x)>0;当x>1时,f′(x)<0,即可得到函数的单调区间;
(2)利用函数f(x)在(0,1)上单调递增,在(1,+∞)上单调递减,对m进行分类讨论,确定函数的单调性,即可求得f(x)在[m,2m]上的最大值;
(3)证明在(0,+∞)上恒有
-1,当且仅当x=1时,等号成立,即可证得结论.
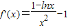
解答:(1)解:求导函数可得
=-
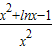
令g(x)=x2+lnx-1,x∈(0,+∞),则g′(x)=2x+
>0,∴函数g(x)在(0,+∞)上单调递增
∵x=1时,f′(x)=0,∴x=1是f′(x)=0的唯一解
∵当0<x<1时,f′(x)>0;当x>1时,f′(x)<0
∴函数f(x)在(0,1)上单调递增,在(1,+∞)上单调递减
(2)解:由(1)知,函数f(x)在(0,1)上单调递增,在(1,+∞)上单调递减
①当0<2m≤1时,即0<m≤
时,f(x)在[m,2m]上单调递增
∴f(x)max=f(2m)=
②当m≥1时,f(x)在[m,2m]上单调递减
∴f(x)max=f(m)=
③当m<1<2m,即
时,f(x)max=f(1)=-1
(3)证明:由(1)知,当x∈(0,+∞)时,f(x)max=f(1)=-1
∴在(0,+∞)上恒有
-1,当且仅当x=1时,等号成立
∴对任意的x∈(0,+∞)恒有lnx≤x(x-1)
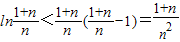
∵
,
∴
∴对任意n∈N+,不等式
<
恒成立.
点评:本题考查导数知识的运用,考查函数的单调性,考查函数的最值,考查不等式的证明,解题的关键是确定函数的单调性,属于中档题.
(2)利用函数f(x)在(0,1)上单调递增,在(1,+∞)上单调递减,对m进行分类讨论,确定函数的单调性,即可求得f(x)在[m,2m]上的最大值;
(3)证明在(0,+∞)上恒有
解答:(1)解:求导函数可得
令g(x)=x2+lnx-1,x∈(0,+∞),则g′(x)=2x+
∵x=1时,f′(x)=0,∴x=1是f′(x)=0的唯一解
∵当0<x<1时,f′(x)>0;当x>1时,f′(x)<0
∴函数f(x)在(0,1)上单调递增,在(1,+∞)上单调递减
(2)解:由(1)知,函数f(x)在(0,1)上单调递增,在(1,+∞)上单调递减
①当0<2m≤1时,即0<m≤
∴f(x)max=f(2m)=
②当m≥1时,f(x)在[m,2m]上单调递减
∴f(x)max=f(m)=
③当m<1<2m,即
(3)证明:由(1)知,当x∈(0,+∞)时,f(x)max=f(1)=-1
∴在(0,+∞)上恒有
∴对任意的x∈(0,+∞)恒有lnx≤x(x-1)
∵
∴
∴对任意n∈N+,不等式
点评:本题考查导数知识的运用,考查函数的单调性,考查函数的最值,考查不等式的证明,解题的关键是确定函数的单调性,属于中档题.
练习册系列答案
相关题目