题目内容

已知函数,其中为常数.

(Ⅰ)若函数在区间上单调,求的取值范围;

(Ⅱ)若对任意,都有成立,且函数的图象经过点

的值.

 

【答案】

(I) ;(Ⅱ)c=-1或c=-2.

【解析】

试题分析:(I)一元二次函数开口向上时,在对称轴的左侧单减,在对称轴的右侧单增,对称轴公式为x=,由题,≤1,解得;(Ⅱ)若,则f(x)关于x=a对称,由题,x=-1,所以b=2,将点(c,-b)代入解析式,有 c=-1或c=-2.

试题解析:(I)∵函数

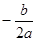
∴它的开口向上,对称轴方程为,

∵函数在区间上单调递增,

 .

(Ⅱ)∵

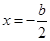
∴函数的对称轴方程为

 .

又∵函数的图象经过点

∴有,

.

考点:一元二次函数的和对称性.

 

练习册系列答案
相关题目

违法和不良信息举报电话:027-86699610 举报邮箱:58377363@163.com

精英家教网