题目内容
工厂生产某种产品,次品率p与日产量x(万件)间的关系为
(c为常数,且0<c<6),已知每生产1件合格产品盈利3元,每出现1件次品亏损1.5元.
(1)将日盈利额y(万元)表示为日产量x(万件)的函数;
(2)使日盈利额最大,日产量应为多少万件?(注:次品率=
)
(1)将日盈利额y(万元)表示为日产量x(万件)的函数;
(2)使日盈利额最大,日产量应为多少万件?(注:次品率=
解:(1)当x>c时,
∴ 
当0<x≤c时,
∴
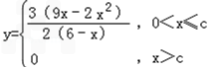
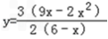
∴日盈利额y(万元)与日产量x(万件)的函数关系式为
(2)由(1)知,当x>c时,日盈利额为0.
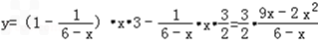
当0<x≤c时,∵
∴
令y'=0得x=3或x=9(舍去)
①当0<c<3时, ∵y'>0,∴y在区间(0,c]]上单调递增,
∴y最大值=f(c)=
,此时x=c
②当3≤c≤6时,在(0,3)上,y'>0,在(3,6)上y'<0
∴y最大值=f(3)=
综上,若0<c<3,则当日产量为c万件时,日盈利额最大;
若3≤c<6,则当日产量为3万件时,日盈利额最大
当0<x≤c时,
∴日盈利额y(万元)与日产量x(万件)的函数关系式为
(2)由(1)知,当x>c时,日盈利额为0.
当0<x≤c时,∵
令y'=0得x=3或x=9(舍去)
①当0<c<3时, ∵y'>0,∴y在区间(0,c]]上单调递增,
∴y最大值=f(c)=
②当3≤c≤6时,在(0,3)上,y'>0,在(3,6)上y'<0
∴y最大值=f(3)=
综上,若0<c<3,则当日产量为c万件时,日盈利额最大;
若3≤c<6,则当日产量为3万件时,日盈利额最大
练习册系列答案
相关题目