题目内容
已知A.1
B.2
C.3
D.4
【答案】分析:由基本不等式可得mn的值,由分类讨论去掉绝对值可得曲线,作出两个图象可得答案.
解答:
解:∵1=
+
≥2
,∴
≤
,mn≥8,
当且仅当
,即m=2,n=4时,mn取得最小值8,
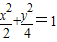
故曲线方程为
,
当x≥0,y≥0时,方程化为
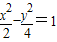
当x<0,y>0时,方程化为-
,
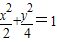
当x>0,y<0时,方程化为
,
当x<0,y<0时,无意义,
由圆锥曲线可作出方程
和直线y=-
+2与的图象,
由图象可知,交点的个数为2,
故选B
点评:本题考查根的存在性及判断,涉及基本不等式和圆锥曲线的知识,属中档题.
解答:
当且仅当
故曲线方程为
当x≥0,y≥0时,方程化为
当x<0,y>0时,方程化为-
当x>0,y<0时,方程化为
当x<0,y<0时,无意义,
由圆锥曲线可作出方程
由图象可知,交点的个数为2,
故选B
点评:本题考查根的存在性及判断,涉及基本不等式和圆锥曲线的知识,属中档题.
练习册系列答案
相关题目