题目内容
已知函数f(x)=x2+ln(x-a)(a∈R).(1)若f(x)有两个不同的极值点,求a的取值范围;
(2)当a≤-2时,g(a)表示函数f(x)在[-1,0]上的最大值,求g(a)的表达式;
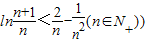
(3)求证:
【答案】分析:(1)f(x)有两个不同的极值点?f′(x)=0在定义域内有不同的两个实数根.
(2)当a≤-2时,由(1)可知a<x1<-1<x2<0.及f(x)在[-1,x2]与[x2,0]上的单调性可得:f(x)在[-1,0]上的最大值是f(-1)和f(0)中的最大的那一个.
(3)利用(2)的结论可得:
=
.把n依次取n,n-1,…1得到n个不等式,再相加即可得到.或利用上下归纳法也可证明.
解答:解:(1)法一:∵f(x)=x2+ln(x-a)(a∈R),∴x>a,
∴
=
(x>a).
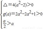
令g(x)=2x2-2ax+1,△=4a2-8=4(a2-2).
当△>0时,得
或a
.
若a
,则f′(x)>0在x>a时恒成立,此时函数f(x)无极值点;
若
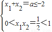
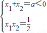
,设g(x)=2x2-2ax+1=0的两根为x1,x2,且x1<x2.
∵
,∴a<x1<x2,若下表:
∴当
时,函数f(x)由两个极值点.
法二:
=
(x>a).
设g(x)=2x2-2ax+1,f(x)由两个极值点?g(x)=0由两个大于a的不等实数根x1,x2(x1<x2).
∴
,解得
,∴当
时,函数f(x)由两个极值点.
(2)当a≤-2时,由(1)知
,∴a<x1<-1<x2<0.
∴f(x)在[-1,x2]上为减函数,而在[x2,0]上为增函数,
∴f(x)在[-1,0]上的最大值是f(-1)和f(0)中的最大的那一个.
∵f(-1)=1+ln(-1-a),f(0)=ln(-a).
设h(a)=f(-1)-f(0)=
=
.
∵a≤-2,∴
,∴
,故h(a)>0.
∴最大值为f(-1).
即g(a)=f(-1)=1+ln(-1-a)(a≤-2).
(3)由(2)可知:当a=-2时,f(x)=x2+ln(x+2)有最大值f(-1)=1+ln(-1+2)=1.
取
,n∈N+.则
.
即
=
.
法一:由
=
,
把n依次取n,n-1,…1得到n个不等式,再相加得:
ln(n+1)

≤
=
.
∴
.
即
.
法二:用数学归纳法证明:
①当n=1时,易知成立.
假设n=k时,不等式成立,即
,(k∈N+)成立.
当n=k+1时,

=



=


<


<0(由归纳假设及
.
所以当n=k+1时不等式也成立.
故得证.
点评:本题综合考查了利用导数解决含参数的函数的单调性和极值问题,熟练掌握导数、三个二次及分类讨论思想方法是解题的关键.
(2)当a≤-2时,由(1)可知a<x1<-1<x2<0.及f(x)在[-1,x2]与[x2,0]上的单调性可得:f(x)在[-1,0]上的最大值是f(-1)和f(0)中的最大的那一个.
(3)利用(2)的结论可得:
解答:解:(1)法一:∵f(x)=x2+ln(x-a)(a∈R),∴x>a,
∴
令g(x)=2x2-2ax+1,△=4a2-8=4(a2-2).
当△>0时,得
若a
若
∵
∴当
法二:
设g(x)=2x2-2ax+1,f(x)由两个极值点?g(x)=0由两个大于a的不等实数根x1,x2(x1<x2).
∴
(2)当a≤-2时,由(1)知
∴f(x)在[-1,x2]上为减函数,而在[x2,0]上为增函数,
∴f(x)在[-1,0]上的最大值是f(-1)和f(0)中的最大的那一个.
∵f(-1)=1+ln(-1-a),f(0)=ln(-a).
设h(a)=f(-1)-f(0)=
∵a≤-2,∴
∴最大值为f(-1).
即g(a)=f(-1)=1+ln(-1-a)(a≤-2).
(3)由(2)可知:当a=-2时,f(x)=x2+ln(x+2)有最大值f(-1)=1+ln(-1+2)=1.
取
即
法一:由
把n依次取n,n-1,…1得到n个不等式,再相加得:
ln(n+1)
≤
∴
即
法二:用数学归纳法证明:
①当n=1时,易知成立.
假设n=k时,不等式成立,即
当n=k+1时,
=
=
<
<0(由归纳假设及
所以当n=k+1时不等式也成立.
故得证.
点评:本题综合考查了利用导数解决含参数的函数的单调性和极值问题,熟练掌握导数、三个二次及分类讨论思想方法是解题的关键.
练习册系列答案
相关题目
| π |
| 2 |
A、f(x)=2sin(πx+
| ||
B、f(x)=2sin(2πx+
| ||
C、f(x)=2sin(πx+
| ||
D、f(x)=2sin(2πx+
|