题目内容
已知函数f(x)=|x﹣3|+|x﹣4|.
(Ⅰ)求不等式f(x)<2的解集;
(Ⅱ)若不等式f(x)<2a的解集不是空集,求a的取值范围.
(Ⅰ)求不等式f(x)<2的解集;
(Ⅱ)若不等式f(x)<2a的解集不是空集,求a的取值范围.
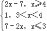
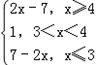
解:由题意,f(x)=|x﹣3|+|x﹣4|=
(Ⅰ)不等式f(x)<2等价于
或
或
,
∴2.5<x<4.5;
(Ⅱ)∵f(x)=|x﹣3|+|x﹣4|=
∴f(x)min=1
∵不等式f(x)<2a的解集不是空集,
∴1<2a
∴
∴a的取值范围为
(Ⅰ)不等式f(x)<2等价于
∴2.5<x<4.5;
(Ⅱ)∵f(x)=|x﹣3|+|x﹣4|=
∴f(x)min=1
∵不等式f(x)<2a的解集不是空集,
∴1<2a
∴
∴a的取值范围为
练习册系列答案
相关题目
已知函数f(x)=x2-bx的图象在点A(1,f(1))处的切线l与直线3x-y+2=0平行,若数列{
}的前n项和为Sn,则S2010的值为( )
| 1 |
| f(n) |
A、
| ||
B、
| ||
C、
| ||
D、
|