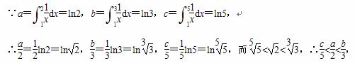
题目内容


则下列关系式成立的是(  )

A.<<                                                  B.<<

C.<<                                                  D.<<


C

[解析] 

选C.


练习册系列答案
相关题目

违法和不良信息举报电话:027-86699610 举报邮箱:58377363@163.com

精英家教网