搜索
题目内容
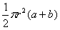
一底面半径为的圆柱,被一平面所截剩下部分母线最大值为a,最小值为b,那么圆柱被截后剩下部分的体积为( )。
试题答案
相关练习册答案
练习册系列答案
西城学科专项测试系列答案
小考必做系列答案
小考实战系列答案
小考复习精要系列答案
小考总动员系列答案
小升初必备冲刺48天系列答案
68所名校图书小升初高分夺冠真卷系列答案
伴你成长周周练月月测系列答案
小升初金卷导练系列答案
萌齐小升初强化模拟训练系列答案
相关题目
有一根高为3π,底面半径为1的圆柱形铁管,用一段铁丝在铁管上缠绕2圈,并使铁丝的两个端点落在圆柱的同一母线的两端,则铁丝的最短长度为
(结果用π表示).
(2008•静安区一模)(理)已知圆柱的体积是
6
π
,点O是圆柱的下底面圆心,底面半径为1,点A是圆柱的上底面圆周上一点,则直线OA与该圆柱的底面所成的角的大小是
arctan
6
arctan
6
(结果用反三角函数值表示).
如图,半径R=3的球O中有一内接圆柱,设圆柱的高为h,底面半径为r.
(Ⅰ)当h=4时,求圆柱的体积与球的体积;
(Ⅱ)当圆柱的轴截面ABCD的面积最大时,求h与r的值.
(03年北京卷理)一底面半径为
的圆柱,被一平面所截剩下部分母线最大值为
,最小值为
,那么圆柱被截后剩下部分的体积为
.
关 闭
试题分类
高中
数学
英语
物理
化学
生物
地理
初中
数学
英语
物理
化学
生物
地理
小学
数学
英语
其他
阅读理解答案
已回答习题
未回答习题
题目汇总
试卷汇总
练习册解析答案