题目内容
若函数
在x=1处取极值,则m=
【答案】
3
【解析】
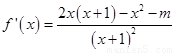
试题分析:因为
,由题意知,
,即
,
.
考点:利用导数求函数的极值.
练习册系列答案
相关题目
题目内容
若函数
在x=1处取极值,则m=
3
【解析】
试题分析:因为
,由题意知,
,即
,
.
考点:利用导数求函数的极值.