题目内容
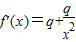
设函数f(x)=px2+qx-(Ⅰ)求P的值;
(Ⅱ)若q<0,求f(x-1)的单调区间;
(Ⅲ)求f(sinx+cosx)在x∈[0,
【答案】分析:(Ⅰ)由于函数在R上的奇函数,根据奇函数性质即可解出p值;
(Ⅱ)求导函数f′(x),得到函数的单调区间,又由复合函数的单调性,即可得到f(x-1)的单调区间;
(Ⅲ)利用导数求区间上的最值,要先求函数的极值点,再与端点值比较大小即可.
解答:解:(Ⅰ)∵f(x)为奇函数,∴f(-x)=-f(x)
即px2-qx+
=-(px2+qx-
)
得2px2=0对任意x≠0恒成立
∴p=0
(Ⅱ)由(Ⅰ)知f(x)=qx-
(q≠0)
∵
∴当q<0时,f′(x)<0,
∴当q<0时,f(x)在定义域内是减函数
又∵t=x-1,当x≠1时,t在(-∞,1),(1,+∞)上递增
∴当q<0时,f(x-1)单调递减,减区间为(-∞,1),和(1,+∞)
(Ⅲ)由(Ⅱ)可知:
当q<0时,函数f(x)在定义域内是减函数
当q>0时,函数f(x)在定义域内是增函数
∵
,
∴sinx+cosx在x∈[0,
]上有1≤sinx+cosx
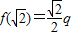
∴当q<0时,f(sinx+cosx)的最大值为f(1)=0,最小值为
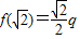
当q>0时,f(sinx+cosx)的最大值为
,最小值为f(1)=0
点评:本题考查了函数的奇偶性、单调性问题,解题时要熟练掌握函数奇偶性、单调性定义,能准确利用函数导数求函数的最值.
(Ⅱ)求导函数f′(x),得到函数的单调区间,又由复合函数的单调性,即可得到f(x-1)的单调区间;
(Ⅲ)利用导数求区间上的最值,要先求函数的极值点,再与端点值比较大小即可.
解答:解:(Ⅰ)∵f(x)为奇函数,∴f(-x)=-f(x)
即px2-qx+
得2px2=0对任意x≠0恒成立
∴p=0
(Ⅱ)由(Ⅰ)知f(x)=qx-
∵
∴当q<0时,f′(x)<0,
∴当q<0时,f(x)在定义域内是减函数
又∵t=x-1,当x≠1时,t在(-∞,1),(1,+∞)上递增
∴当q<0时,f(x-1)单调递减,减区间为(-∞,1),和(1,+∞)
(Ⅲ)由(Ⅱ)可知:
当q<0时,函数f(x)在定义域内是减函数
当q>0时,函数f(x)在定义域内是增函数
∵
∴sinx+cosx在x∈[0,
∴当q<0时,f(sinx+cosx)的最大值为f(1)=0,最小值为
当q>0时,f(sinx+cosx)的最大值为
点评:本题考查了函数的奇偶性、单调性问题,解题时要熟练掌握函数奇偶性、单调性定义,能准确利用函数导数求函数的最值.
练习册系列答案
相关题目