题目内容
如图,中,,点在线段上,且,,
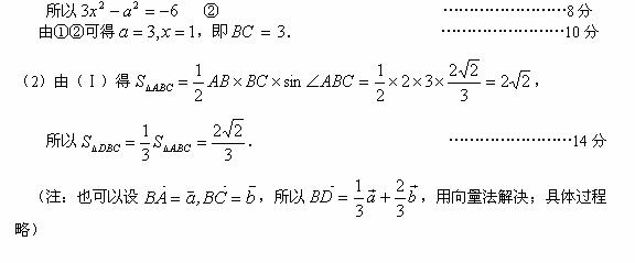
(1)求的长;
(2)求的面积.
因为,所以有,
(12分)如图①,在等腰梯形中,已知均为梯形的高,且。现沿将和折起,使点重合为一点,如图②所示。又点为线段的中点,点在线段上,且。
(1)求线段的长;
(2)求二面角的大小。
(12分)如图,在等腰梯形中,已知均为梯形的高,且。现沿将和折起,使点重合为一点,如图②所示。又点为线段的中点,点在线段上,且。
如图1,在直角梯形中,,,,. 把沿对角线折起到的位置,如图2所示,使得点在平面上的正投影恰好落在线段上,连接,点分别为线段的中点.
(1)求证:平面平面;
(2)求直线与平面所成角的正弦值;
(3)在棱上是否存在一点,使得到点四点的距离相等?请说明理由.
如图1,在直角梯形中,,,,
. 把沿对角线折起到的位置,如图2所示,使得点在平面上的正投影恰好落在线段上,连接,点分别为线段的中点.
(I)求证:平面平面;
(II)求直线与平面所成角的正弦值;
(III)在棱上是否存在一点,使得到点四点的距离相等?请说明理由.