题目内容
设曲线y=(ax-1)ex在点A(x,y1)处的切线为l1,曲线y=(1-x)e-x在点B(x,y2)处的切线为l2.若存在
【答案】分析:根据曲线方程分别求出导函数,把A和B的横坐标x分别代入到相应的导函数中求出切线l1和切线为l2的斜率,然后根据两条切线互相垂直得到斜率乘积为-1,列出关于等式由
解出
,然后根据
为减函数求出其值域即可得到a的取值范围.
解答:解:函数y=(ax-1)ex的导数为y′=(ax+a-1)ex,
∴l1的斜率为
,
函数y=(1-x)e-x的导数为y′=(x-2)e-x
∴l2的斜率为
,
由题设有k1•k2=-1从而有
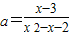
∴a(x2-x-2)=x-3
∵
得到x2-x-2≠0,所以
,
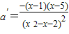
又
,另导数大于0得1<x<5,
故
在(0,1)是减函数,在(1,
)上是增函数,
x=0时取得最大值为
=
;
x=1时取得最小值为1.
∴
故答案为:
点评:此题是一道综合题,考查学生会利用导数求切线的斜率,会求函数的值域,掌握两直线垂直时斜率的关系.
解答:解:函数y=(ax-1)ex的导数为y′=(ax+a-1)ex,
∴l1的斜率为
函数y=(1-x)e-x的导数为y′=(x-2)e-x
∴l2的斜率为
由题设有k1•k2=-1从而有
∴a(x2-x-2)=x-3
∵
又
故
x=0时取得最大值为
x=1时取得最小值为1.
∴
故答案为:
点评:此题是一道综合题,考查学生会利用导数求切线的斜率,会求函数的值域,掌握两直线垂直时斜率的关系.
练习册系列答案
相关题目