题目内容
已知数列{an}的各项为正数,前n项和为Sn,且
,n∈N*。
(Ⅰ)求证:数列{an}是等差数列;
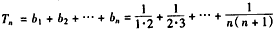
(Ⅱ)设
,Tn=b1+b2+…+bn,求Tn.
(Ⅰ)求证:数列{an}是等差数列;
(Ⅱ)设
(Ⅰ)证明:
,
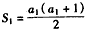
n=1时,
,
∴
,


,
所以,
,
∵
,
∴
,
∴数列{an}是等差数列。
(Ⅱ)解:由(Ⅰ)
,
所以,
,
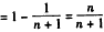
∴

。
n=1时,
∴
所以,
∵
∴
∴数列{an}是等差数列。
(Ⅱ)解:由(Ⅰ)
所以,
∴
练习册系列答案
相关题目