题目内容
已知函数
(
).
(1)若
有最大值
,求实数
的值;
(2)求函数
的单调递增区间.
(2)求函数
解:(1 )
,
有最大值为
,
∴
,
解得
.
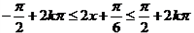
(2)令
,(
)
解得
(
),
∴函数
的单调递增区间
(
).
∴
解得
(2)令
解得
∴函数
练习册系列答案
相关题目
| π |
| 2 |
A、f(x)=2sin(
| ||||
B、f(x)=2sin(
| ||||
C、f(x)=2sin(2x-
| ||||
D、f(x)=2sin(2x+
|