题目内容
已知△ABC中,2sinAcosB=sinCcosB+cosCsinB,
(Ⅰ)求角B的大小;
(Ⅱ)设向量m=(cosA,cos2A),n=(
,1),求当m·n取最小值时,
的值。
(Ⅰ)求角B的大小;
(Ⅱ)设向量m=(cosA,cos2A),n=(
解:(Ⅰ)因为
,
所以
,
因为0<A<π,所以sinA≠0,
所以
,
因为0<B<π,所以
;
(Ⅱ)因为
,
所以
,
所以当
时,m·n取得最小值,
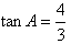
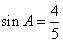
此时
(0<A<π),
于是
,
所以
。
所以
因为0<A<π,所以sinA≠0,
所以
因为0<B<π,所以
(Ⅱ)因为
所以
所以当
此时
于是
所以
练习册系列答案
相关题目