题目内容
已知:以点(1)求证:△OAB的面积为定值;
(2)设直线y=-2x+4与圆C交于点M,N,若OM=ON,求圆C的方程.
【答案】分析:(1)求出半径,写出圆的方程,再解出A、B的坐标,表示出面积即可.
(2)通过题意解出OC的方程,解出t 的值,直线y=-2x+4与圆C交于点M,N,判断t是否符合要求,可得圆的方程.
解答:解:(1)∵圆C过原点O,
∴
,
设圆C的方程是
,
令x=0,得
,
令y=0,得x1=0,x2=2t
∴
,
即:△OAB的面积为定值;
(2)∵OM=ON,CM=CN,
∴OC垂直平分线段MN,
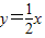
∵kMN=-2,∴
,
∴直线OC的方程是
,
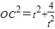
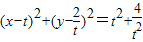
∴
,解得:t=2或t=-2,
当t=2时,圆心C的坐标为(2,1),
,
此时C到直线y=-2x+4的距离
,
圆C与直线y=-2x+4相交于两点,
当t=-2时,圆心C的坐标为(-2,-1),
,
此时C到直线y=-2x+4的距离
,
圆C与直线y=-2x+4不相交,
∴t=-2不符合题意舍去,
∴圆C的方程为(x-2)2+(y-1)2=5.
点评:本题考查直线与圆的位置关系,圆的标准方程等有关知识,是中档题.
(2)通过题意解出OC的方程,解出t 的值,直线y=-2x+4与圆C交于点M,N,判断t是否符合要求,可得圆的方程.
解答:解:(1)∵圆C过原点O,
∴
设圆C的方程是
令x=0,得
令y=0,得x1=0,x2=2t
∴
即:△OAB的面积为定值;
(2)∵OM=ON,CM=CN,
∴OC垂直平分线段MN,
∵kMN=-2,∴
∴直线OC的方程是
∴
当t=2时,圆心C的坐标为(2,1),
此时C到直线y=-2x+4的距离
圆C与直线y=-2x+4相交于两点,
当t=-2时,圆心C的坐标为(-2,-1),
此时C到直线y=-2x+4的距离
圆C与直线y=-2x+4不相交,
∴t=-2不符合题意舍去,
∴圆C的方程为(x-2)2+(y-1)2=5.
点评:本题考查直线与圆的位置关系,圆的标准方程等有关知识,是中档题.
练习册系列答案
相关题目