题目内容

定义在R上的函数f(x)满足f(4)=1,为函数f(x)的导函数,已知的图像如图所示,若两个正数a,b满足f (2a+b)<1,则的取值范围是(     )

A.     B.     C.    D.

 

【答案】

A

【解析】

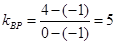
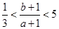
试题分析:由函数的图像可知,时, .时, .所以函数上单调递减,在上单调递增. 是两个正数,.又f(4)=1,.故.以为横轴,为纵轴,作出由不等式组表示的平面区域.则表示点到点的斜率.由下图可知,点在黄色区域内,则易知,所以.故选A.

考点:线性规划、斜率公式、导函数与单调性

 

练习册系列答案
相关题目

违法和不良信息举报电话:027-86699610 举报邮箱:58377363@163.com

精英家教网